mp-561511/FeAsS/anharm

Harmonic properties

../../_images/fig_bandos_pr7410.png

(a) Phonon dispersion with participation ratio and DOS

../../_images/fig_thermo7410.png

(b) Thermodynamic properties

Grüneisen parameters

../../_images/fig_gru_all3105.png

(a) Grüneisen parameters

../../_images/fig_gruneisen3105.png

(b) Phonon dispersion with Grüneisen parameters

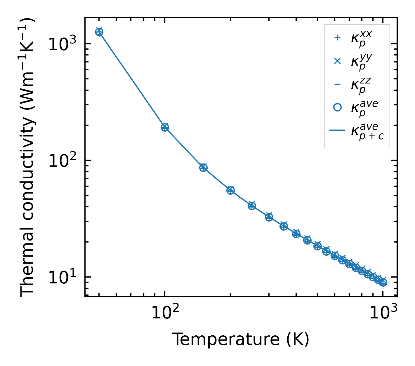
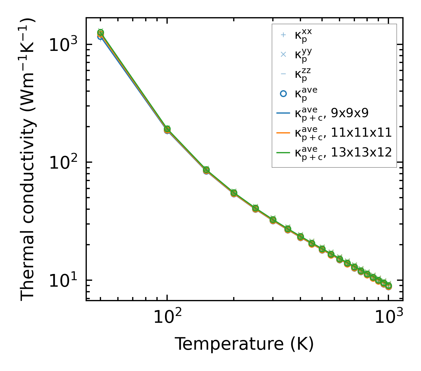
Thermal conductivity

3-phonon (LASSO) — q-mesh: 13x13x12, supercell: 2x3x2

../../_images/fig_kappa5879.png

(a) Temperature-dependent lattice thermal conductivity

../../_images/fig_kappa_vs_grain_size3146.png

(b) Peierls lattice thermal conductivity w.r.t grain size

Phonon lifetime and scattering rates

../../_images/fig_lifetime3078.png

(a) Phonon lifetime due to phonon-phonon scattering

../../_images/fig_scat_rates3077.png

(b) Phonon scattering rates

Cumulative and spectral thermal conductivity

../../_images/fig_cumu_frequency3078.png

(a) Spectral and cumulative thermal conductivity w.r.t frequency

../../_images/fig_cumu_mfp3077.png

(b) Spectral and cumulative thermal conductivity w.r.t MFP

Force constants

../../_images/fig_fc27174.png

(a) Force constants w.r.t atomic distance

Summary

../../_images/fig_kappa5880.png

(a) Temperature-dependent lattice thermal conductivity

../../_images/fig_times13135.png

(b) Computation time