mp-561586-2/CsLaS2/anharm

Equation of state

../../_images/fig_bm3909.png

(a) Equation of state

Harmonic properties

../../_images/fig_bandos_pr7425.png

(a) Phonon dispersion with participation ratio and DOS

../../_images/fig_thermo7425.png

(b) Thermodynamic properties

Grüneisen parameters

../../_images/fig_gru_all3113.png

(a) Grüneisen parameters

../../_images/fig_gruneisen3113.png

(b) Phonon dispersion with Grüneisen parameters

Thermal conductivity

3-phonon (LASSO) — q-mesh: 14x14x14, supercell: 3x3x1

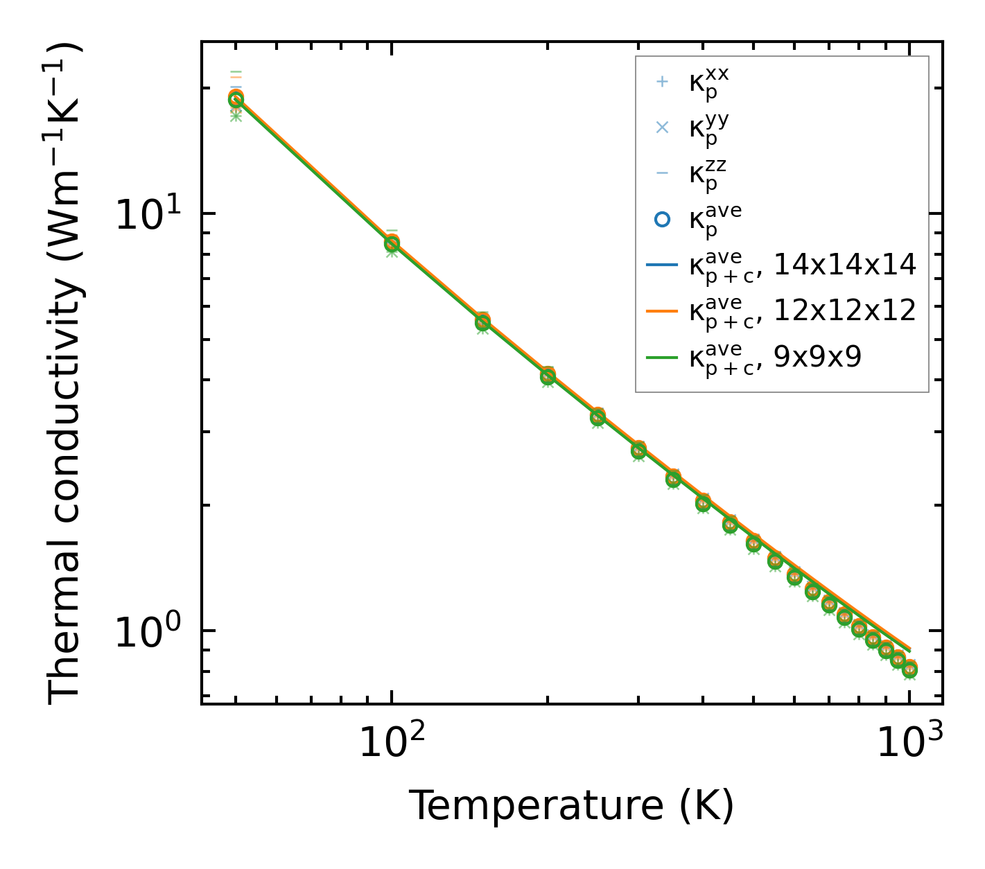
../../_images/fig_kappa5895.png

(a) Temperature-dependent lattice thermal conductivity

../../_images/fig_kappa_vs_grain_size3154.png

(b) Peierls lattice thermal conductivity w.r.t grain size

Phonon lifetime and scattering rates

../../_images/fig_lifetime3086.png

(a) Phonon lifetime due to phonon-phonon scattering

../../_images/fig_scat_rates3085.png

(b) Phonon scattering rates

Cumulative and spectral thermal conductivity

../../_images/fig_cumu_frequency3086.png

(a) Spectral and cumulative thermal conductivity w.r.t frequency

../../_images/fig_cumu_mfp3085.png

(b) Spectral and cumulative thermal conductivity w.r.t MFP

Force constants

../../_images/fig_fc27189.png

(a) Force constants w.r.t atomic distance

Summary

../../_images/fig_kappa5896.png

(a) Temperature-dependent lattice thermal conductivity

../../_images/fig_times13158.png

(b) Computation time