mp-561013-2/Ga2PbO4/anharm

Equation of state

../../_images/fig_bm3968.png

(a) Equation of state

Harmonic properties

../../_images/fig_bandos_pr7620.png

(a) Phonon dispersion with participation ratio and DOS

../../_images/fig_bandos10708.png

(b) Phonon dispersion and DOS

../../_images/fig_thermo7620.png

(c) Thermodynamic properties

Grüneisen parameters

../../_images/fig_gru_all3193.png

(a) Grüneisen parameters

../../_images/fig_gruneisen3193.png

(b) Phonon dispersion with Grüneisen parameters

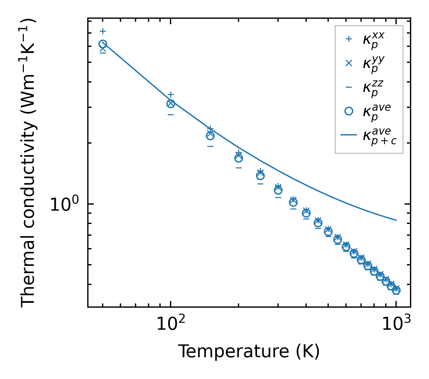
Thermal conductivity

3-phonon (LASSO) — q-mesh: 14x14x8, supercell: 2x1x2

../../_images/fig_kappa6045.png

(a) Temperature-dependent lattice thermal conductivity

../../_images/fig_kappa_vs_grain_size3234.png

(b) Peierls lattice thermal conductivity w.r.t grain size

Phonon lifetime and scattering rates

../../_images/fig_lifetime3165.png

(a) Phonon lifetime due to phonon-phonon scattering

../../_images/fig_scat_rates3164.png

(b) Phonon scattering rates

Cumulative and spectral thermal conductivity

../../_images/fig_cumu_frequency3165.png

(a) Spectral and cumulative thermal conductivity w.r.t frequency

../../_images/fig_cumu_mfp3164.png

(b) Spectral and cumulative thermal conductivity w.r.t MFP

Force constants

../../_images/fig_fc27383.png

(a) Force constants w.r.t atomic distance

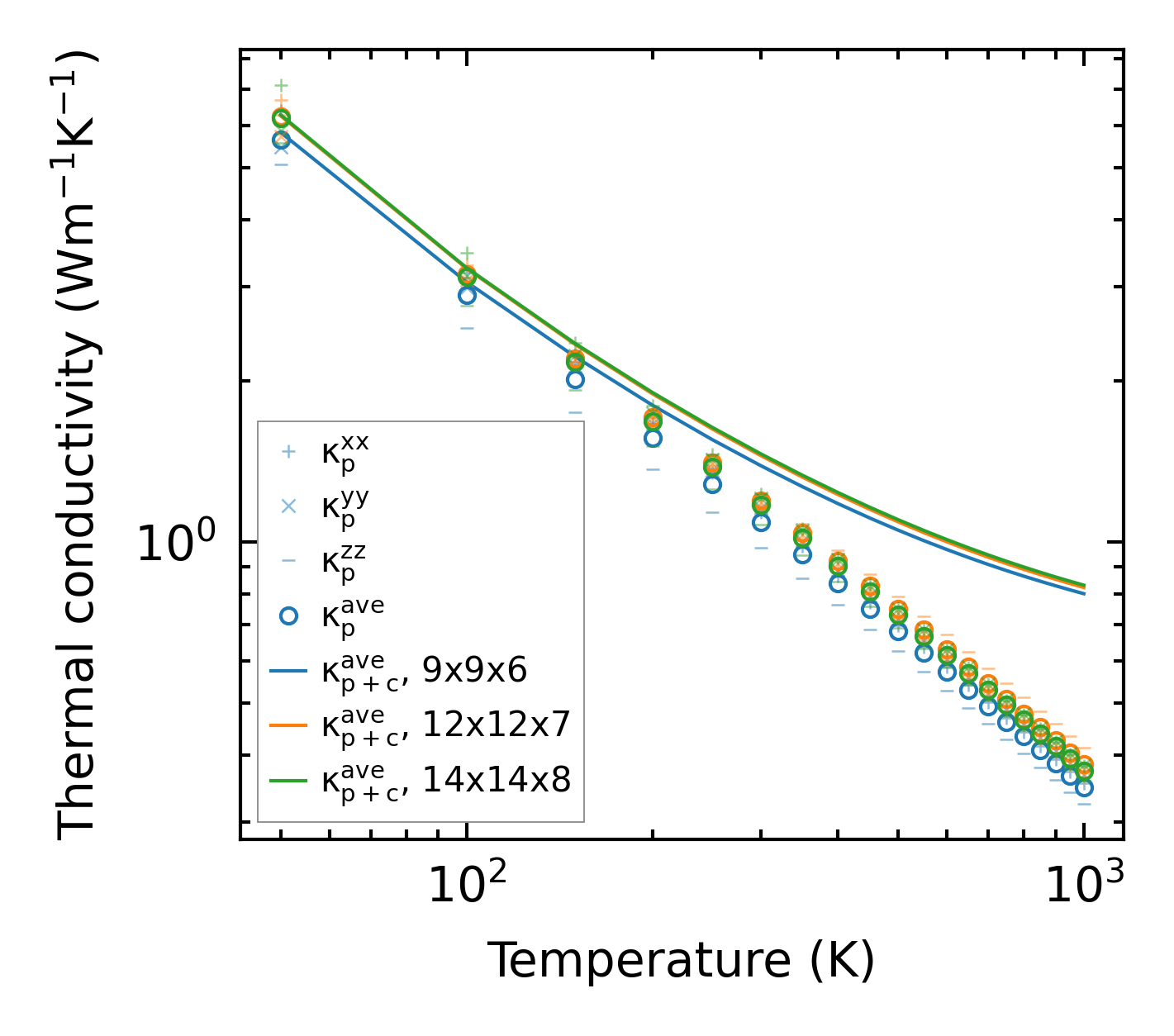
Summary

../../_images/fig_kappa6046.png

(a) Temperature-dependent lattice thermal conductivity

../../_images/fig_times13475.png

(b) Computation time