mp-561245-2/Sr8Si2PtO14/harm

Equation of state

../../_images/fig_bm3882.png

(a) Equation of state

Harmonic properties

../../_images/fig_bandos_pr7348.png

(a) Phonon dispersion with participation ratio and DOS

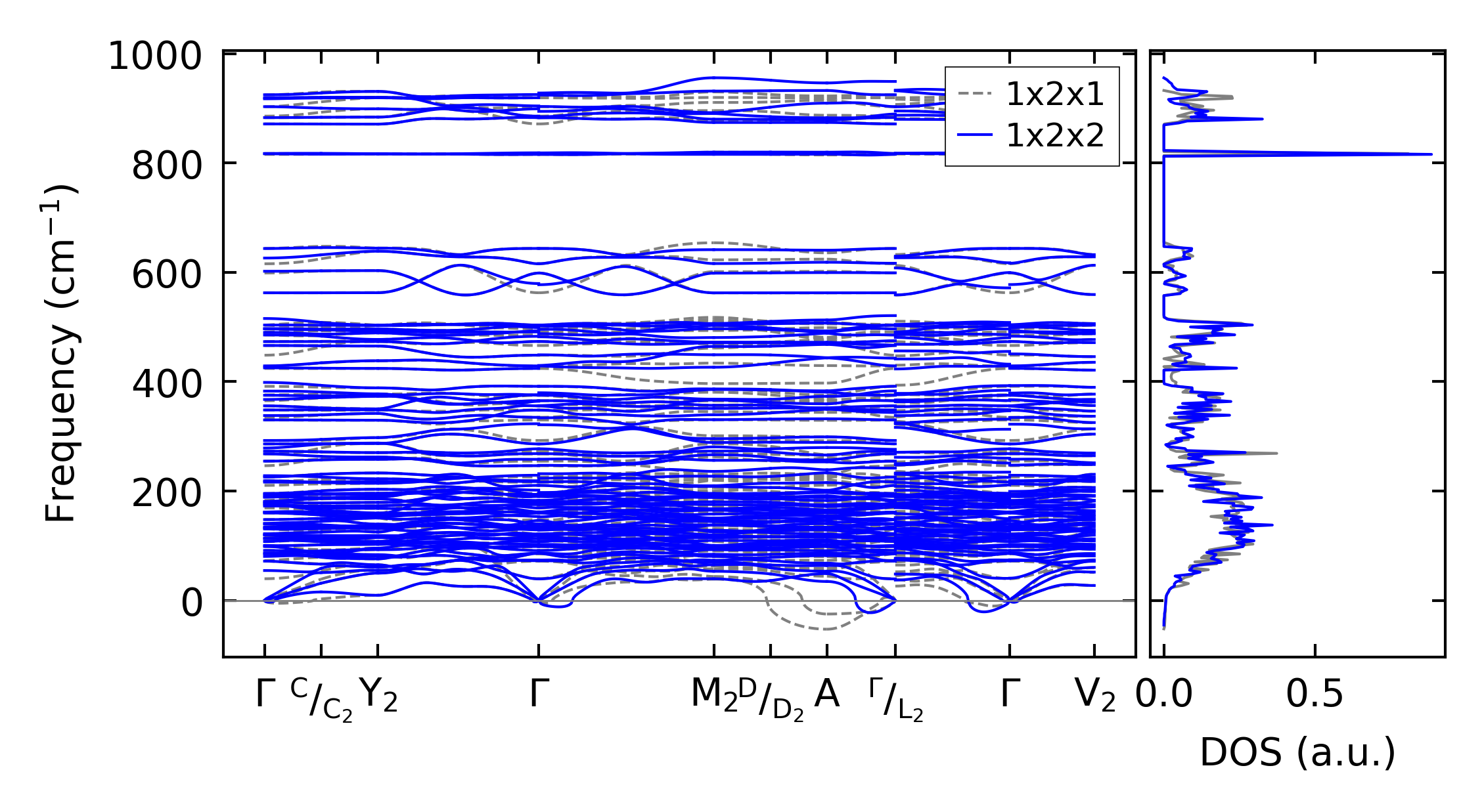
../../_images/fig_bandos10346.png

(b) Phonon dispersion and DOS

../../_images/fig_thermo7348.png

(c) Thermodynamic properties

Force constants

../../_images/fig_fc27112.png

(a) Force constants w.r.t atomic distance

Summary

../../_images/fig_times13031.png

(a) Computation time