mp-561313/Si2Ag6O7/anharm

Harmonic properties

../../_images/fig_bandos_pr7372.png

(a) Phonon dispersion with participation ratio and DOS

../../_images/fig_thermo7372.png

(b) Thermodynamic properties

Grüneisen parameters

../../_images/fig_gru_all3100.png

(a) Grüneisen parameters

../../_images/fig_gruneisen3100.png

(b) Phonon dispersion with Grüneisen parameters

Thermal conductivity

3-phonon (LASSO) — q-mesh: 9x14x7, supercell: 2x2x1

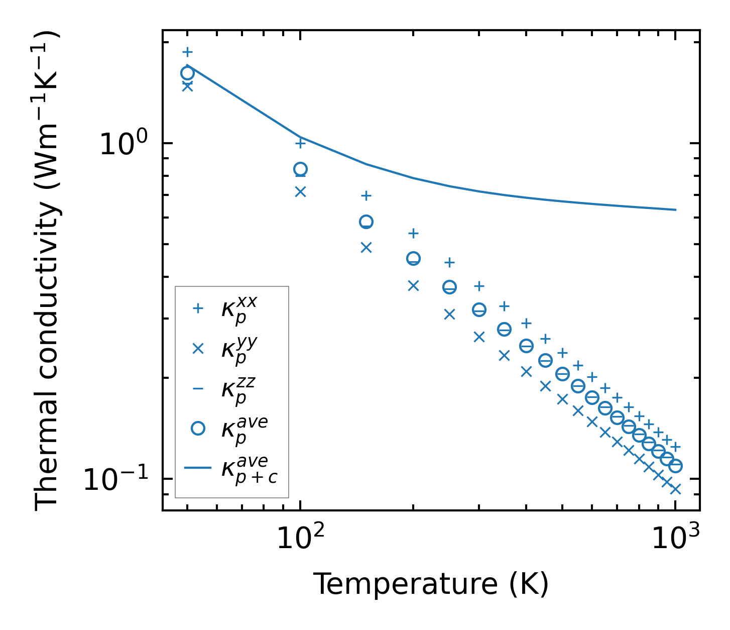
../../_images/fig_kappa5871.png

(a) Temperature-dependent lattice thermal conductivity

../../_images/fig_kappa_vs_grain_size3142.png

(b) Peierls lattice thermal conductivity w.r.t grain size

Phonon lifetime and scattering rates

../../_images/fig_lifetime3074.png

(a) Phonon lifetime due to phonon-phonon scattering

../../_images/fig_scat_rates3073.png

(b) Phonon scattering rates

Cumulative and spectral thermal conductivity

../../_images/fig_cumu_frequency3074.png

(a) Spectral and cumulative thermal conductivity w.r.t frequency

../../_images/fig_cumu_mfp3073.png

(b) Spectral and cumulative thermal conductivity w.r.t MFP

Force constants

../../_images/fig_fc27136.png

(a) Force constants w.r.t atomic distance

Summary

../../_images/fig_kappa5872.png

(a) Temperature-dependent lattice thermal conductivity

../../_images/fig_times13064.png

(b) Computation time