mp-561245/Sr8Si2PtO14/harm

Harmonic properties

../../_images/fig_bandos_pr7347.png

(a) Phonon dispersion with participation ratio and DOS

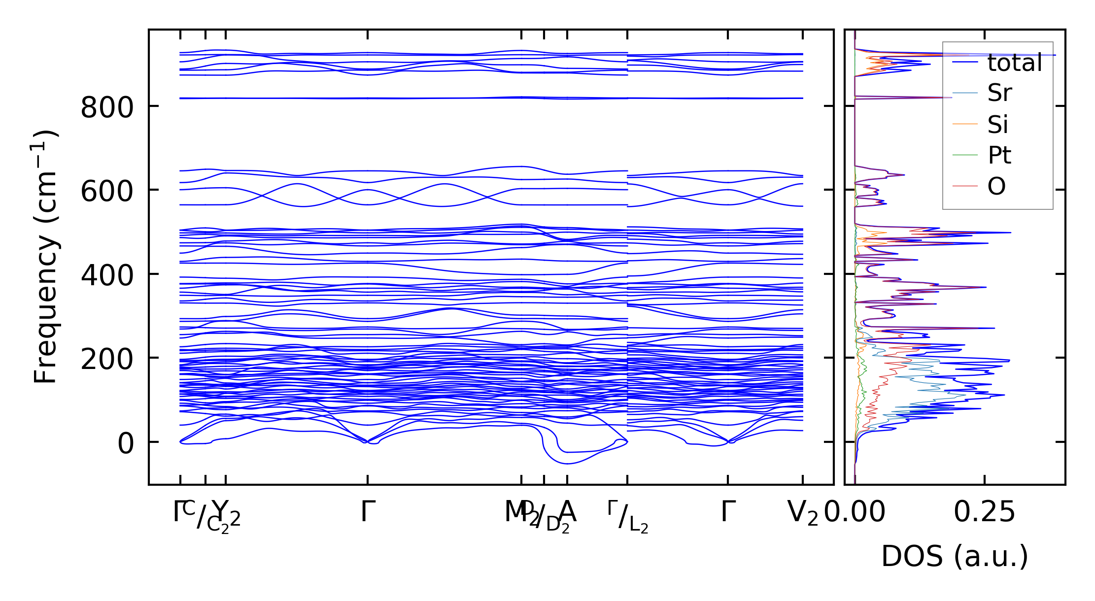
../../_images/fig_bandos10345.png

(b) Phonon dispersion and DOS

../../_images/fig_thermo7347.png

(c) Thermodynamic properties

Force constants

../../_images/fig_fc27111.png

(a) Force constants w.r.t atomic distance

Summary

../../_images/fig_times13030.png

(a) Computation time