mp-561623-2/Li4UO5/anharm

Equation of state

../../_images/fig_bm3910.png

(a) Equation of state

Harmonic properties

../../_images/fig_bandos_pr7430.png

(a) Phonon dispersion with participation ratio and DOS

../../_images/fig_thermo7430.png

(b) Thermodynamic properties

Grüneisen parameters

../../_images/fig_gru_all3118.png

(a) Grüneisen parameters

../../_images/fig_gruneisen3118.png

(b) Phonon dispersion with Grüneisen parameters

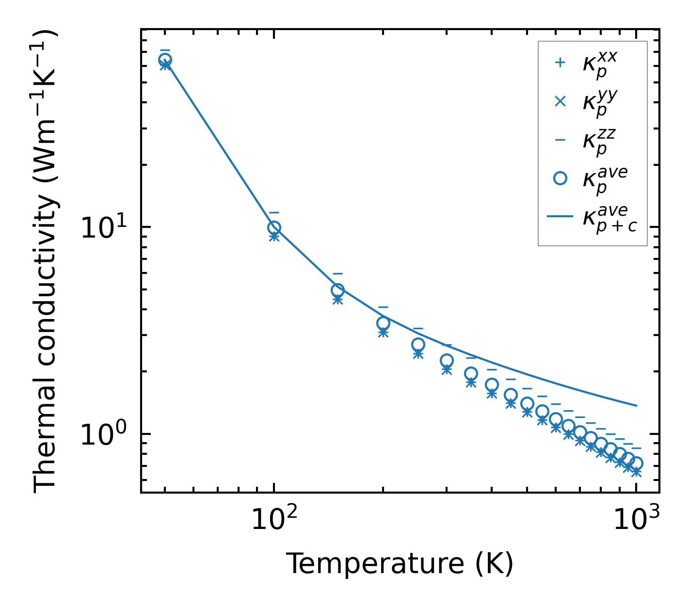
Thermal conductivity

3-phonon (LASSO) — q-mesh: 15x15x15, supercell: 1x1x2

../../_images/fig_kappa5903.png

(a) Temperature-dependent lattice thermal conductivity

../../_images/fig_kappa_vs_grain_size3158.png

(b) Peierls lattice thermal conductivity w.r.t grain size

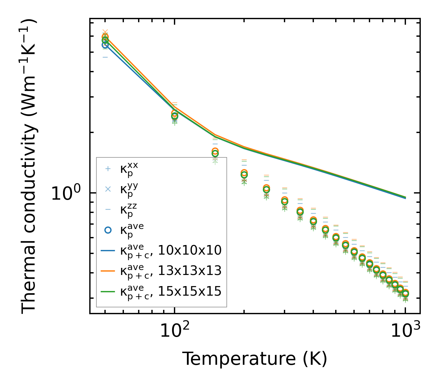
3-phonon (LASSO), supercell 2x2x2 — q-mesh: 15x15x15, supercell: 2x2x2

../../_images/fig_kappa5904.png

(a) Temperature-dependent lattice thermal conductivity

../../_images/fig_kappa_vs_grain_size3159.png

(b) Peierls lattice thermal conductivity w.r.t grain size

Phonon lifetime and scattering rates

../../_images/fig_lifetime3090.png

(a) Phonon lifetime due to phonon-phonon scattering

../../_images/fig_scat_rates3089.png

(b) Phonon scattering rates

Cumulative and spectral thermal conductivity

../../_images/fig_cumu_frequency3090.png

(a) Spectral and cumulative thermal conductivity w.r.t frequency

../../_images/fig_cumu_mfp3089.png

(b) Spectral and cumulative thermal conductivity w.r.t MFP

Force constants

../../_images/fig_fc27194.png

(a) Force constants w.r.t atomic distance

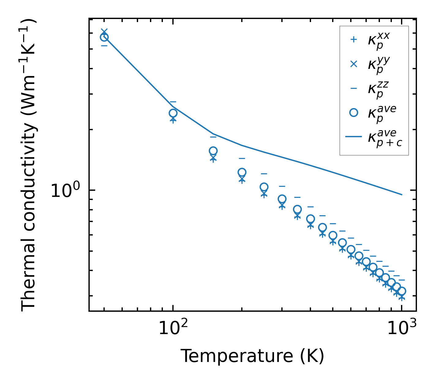
Summary

../../_images/fig_kappa5905.png

(a) Temperature-dependent lattice thermal conductivity

../../_images/fig_times13163.png

(b) Computation time