mp-561095/LiHo3Ge2O8F2/anharm

Harmonic properties

../../_images/fig_bandos_pr7311.png

(a) Phonon dispersion with participation ratio and DOS

../../_images/fig_thermo7311.png

(b) Thermodynamic properties

Grüneisen parameters

../../_images/fig_gru_all3090.png

(a) Grüneisen parameters

../../_images/fig_gruneisen3090.png

(b) Phonon dispersion with Grüneisen parameters

Thermal conductivity

3-phonon (LASSO) — q-mesh: 10x10x8, supercell: 1x2x1

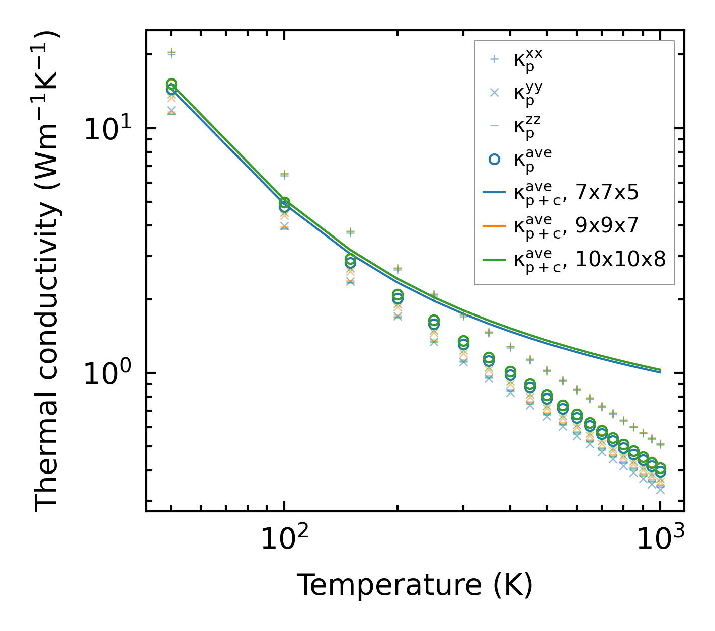
../../_images/fig_kappa5853.png

(a) Temperature-dependent lattice thermal conductivity

../../_images/fig_kappa_vs_grain_size3132.png

(b) Peierls lattice thermal conductivity w.r.t grain size

Phonon lifetime and scattering rates

../../_images/fig_lifetime3064.png

(a) Phonon lifetime due to phonon-phonon scattering

../../_images/fig_scat_rates3063.png

(b) Phonon scattering rates

Cumulative and spectral thermal conductivity

../../_images/fig_cumu_frequency3064.png

(a) Spectral and cumulative thermal conductivity w.r.t frequency

../../_images/fig_cumu_mfp3063.png

(b) Spectral and cumulative thermal conductivity w.r.t MFP

Force constants

../../_images/fig_fc27075.png

(a) Force constants w.r.t atomic distance

Summary

../../_images/fig_kappa5854.png

(a) Temperature-dependent lattice thermal conductivity

../../_images/fig_times12970.png

(b) Computation time