mp-561033/CsCu5S3/anharm

Harmonic properties

../../_images/fig_bandos_pr7624.png

(a) Phonon dispersion with participation ratio and DOS

../../_images/fig_thermo7624.png

(b) Thermodynamic properties

Grüneisen parameters

../../_images/fig_gru_all3194.png

(a) Grüneisen parameters

../../_images/fig_gruneisen3194.png

(b) Phonon dispersion with Grüneisen parameters

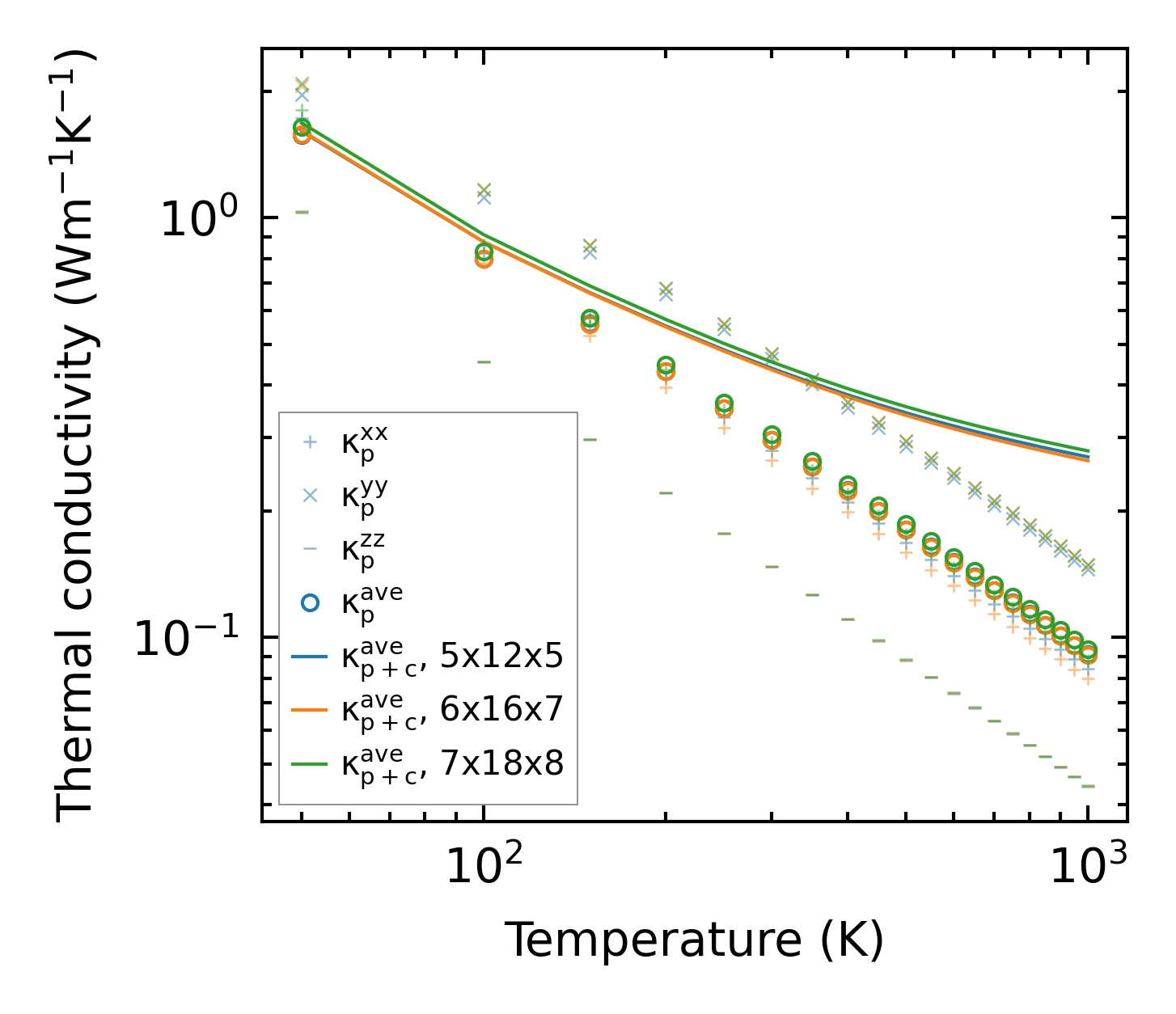
Thermal conductivity

3-phonon (LASSO) — q-mesh: 7x18x8, supercell: 1x3x2

../../_images/fig_kappa6047.png

(a) Temperature-dependent lattice thermal conductivity

../../_images/fig_kappa_vs_grain_size3235.png

(b) Peierls lattice thermal conductivity w.r.t grain size

Phonon lifetime and scattering rates

../../_images/fig_lifetime3166.png

(a) Phonon lifetime due to phonon-phonon scattering

../../_images/fig_scat_rates3165.png

(b) Phonon scattering rates

Cumulative and spectral thermal conductivity

../../_images/fig_cumu_frequency3166.png

(a) Spectral and cumulative thermal conductivity w.r.t frequency

../../_images/fig_cumu_mfp3165.png

(b) Spectral and cumulative thermal conductivity w.r.t MFP

Force constants

../../_images/fig_fc27387.png

(a) Force constants w.r.t atomic distance

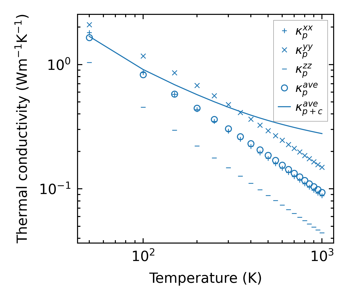
Summary

../../_images/fig_kappa6048.png

(a) Temperature-dependent lattice thermal conductivity

../../_images/fig_times13481.png

(b) Computation time