mp-561290-2/K2BiF5/anharm

Equation of state

../../_images/fig_bm3886.png

(a) Equation of state

Harmonic properties

../../_images/fig_bandos_pr7361.png

(a) Phonon dispersion with participation ratio and DOS

../../_images/fig_bandos10363.png

(b) Phonon dispersion and DOS

../../_images/fig_thermo7361.png

(c) Thermodynamic properties

Grüneisen parameters

../../_images/fig_gru_all3099.png

(a) Grüneisen parameters

../../_images/fig_gruneisen3099.png

(b) Phonon dispersion with Grüneisen parameters

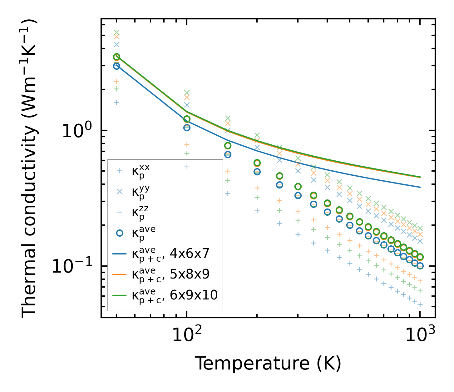
Thermal conductivity

3-phonon (LASSO) — q-mesh: 6x9x10, supercell: 1x2x2

../../_images/fig_kappa5869.png

(a) Temperature-dependent lattice thermal conductivity

../../_images/fig_kappa_vs_grain_size3141.png

(b) Peierls lattice thermal conductivity w.r.t grain size

Phonon lifetime and scattering rates

../../_images/fig_lifetime3073.png

(a) Phonon lifetime due to phonon-phonon scattering

../../_images/fig_scat_rates3072.png

(b) Phonon scattering rates

Cumulative and spectral thermal conductivity

../../_images/fig_cumu_frequency3073.png

(a) Spectral and cumulative thermal conductivity w.r.t frequency

../../_images/fig_cumu_mfp3072.png

(b) Spectral and cumulative thermal conductivity w.r.t MFP

Force constants

../../_images/fig_fc27125.png

(a) Force constants w.r.t atomic distance

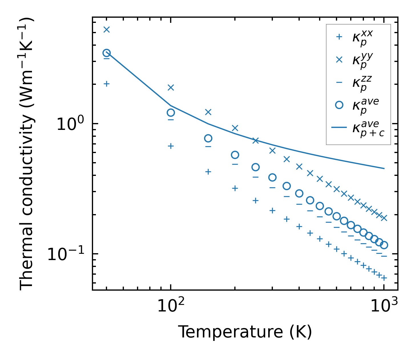
Summary

../../_images/fig_kappa5870.png

(a) Temperature-dependent lattice thermal conductivity

../../_images/fig_times13050.png

(b) Computation time