mp-561619/CsLuS2/anharm

Harmonic properties

../../_images/fig_bandos_pr7426.png

(a) Phonon dispersion with participation ratio and DOS

../../_images/fig_thermo7426.png

(b) Thermodynamic properties

Grüneisen parameters

../../_images/fig_gru_all3114.png

(a) Grüneisen parameters

../../_images/fig_gruneisen3114.png

(b) Phonon dispersion with Grüneisen parameters

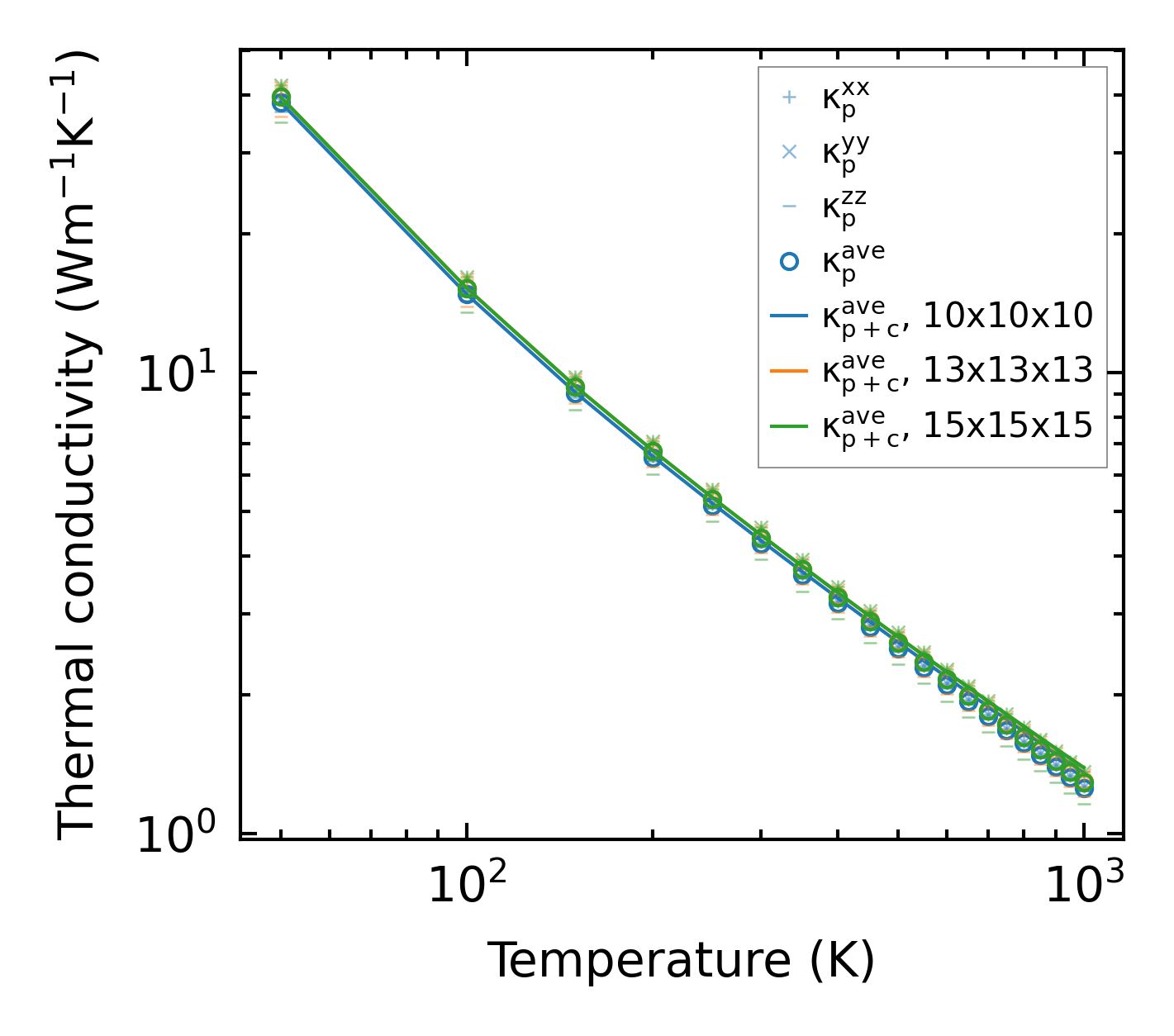
Thermal conductivity

3-phonon (LASSO) — q-mesh: 15x15x15, supercell: 3x3x1

../../_images/fig_kappa5897.png

(a) Temperature-dependent lattice thermal conductivity

../../_images/fig_kappa_vs_grain_size3155.png

(b) Peierls lattice thermal conductivity w.r.t grain size

Phonon lifetime and scattering rates

../../_images/fig_lifetime3087.png

(a) Phonon lifetime due to phonon-phonon scattering

../../_images/fig_scat_rates3086.png

(b) Phonon scattering rates

Cumulative and spectral thermal conductivity

../../_images/fig_cumu_frequency3087.png

(a) Spectral and cumulative thermal conductivity w.r.t frequency

../../_images/fig_cumu_mfp3086.png

(b) Spectral and cumulative thermal conductivity w.r.t MFP

Force constants

../../_images/fig_fc27190.png

(a) Force constants w.r.t atomic distance

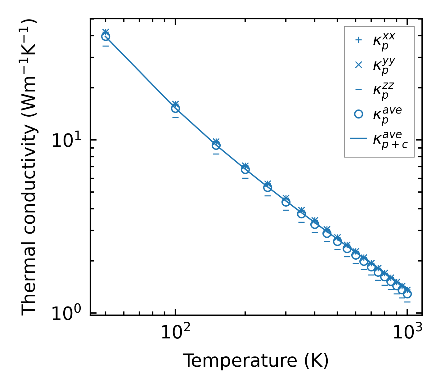
Summary

../../_images/fig_kappa5898.png

(a) Temperature-dependent lattice thermal conductivity

../../_images/fig_times13159.png

(b) Computation time