mp-561173-2/Y3CuSiS7/anharm

Equation of state

../../_images/fig_bm3877.png

(a) Equation of state

Harmonic properties

../../_images/fig_bandos_pr7332.png

(a) Phonon dispersion with participation ratio and DOS

../../_images/fig_bandos10319.png

(b) Phonon dispersion and DOS

../../_images/fig_thermo7332.png

(c) Thermodynamic properties

Grüneisen parameters

../../_images/fig_gru_all3095.png

(a) Grüneisen parameters

../../_images/fig_gruneisen3095.png

(b) Phonon dispersion with Grüneisen parameters

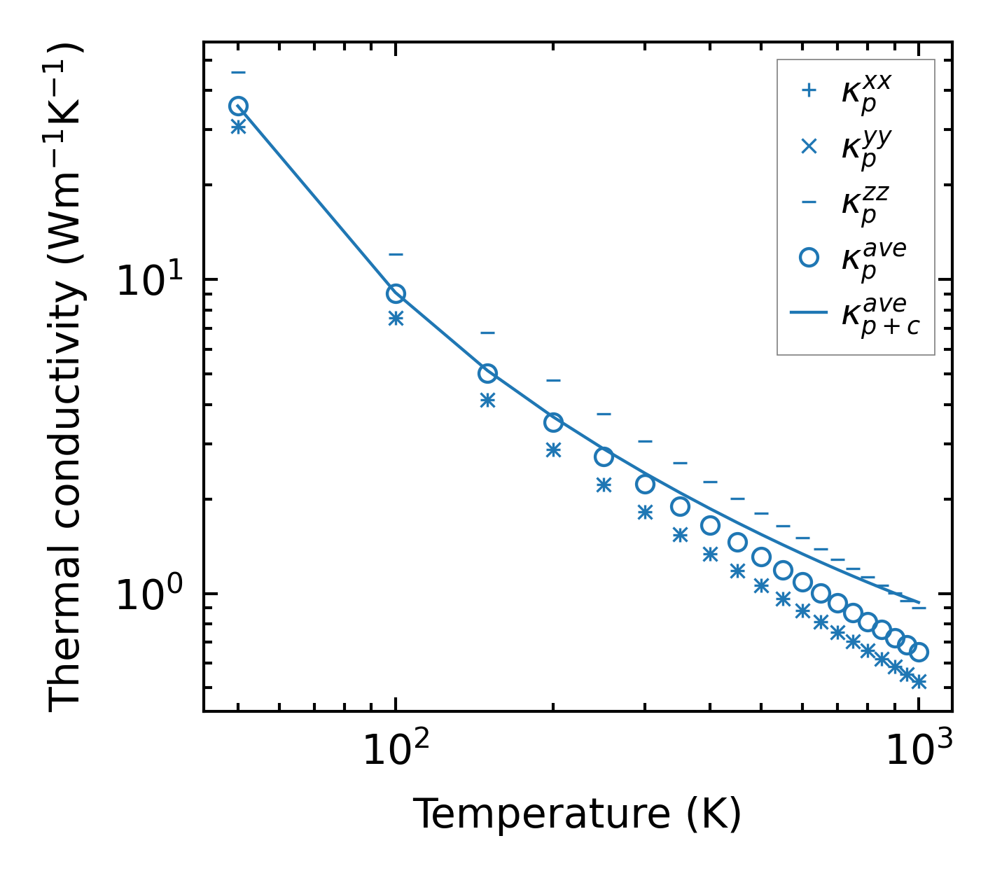
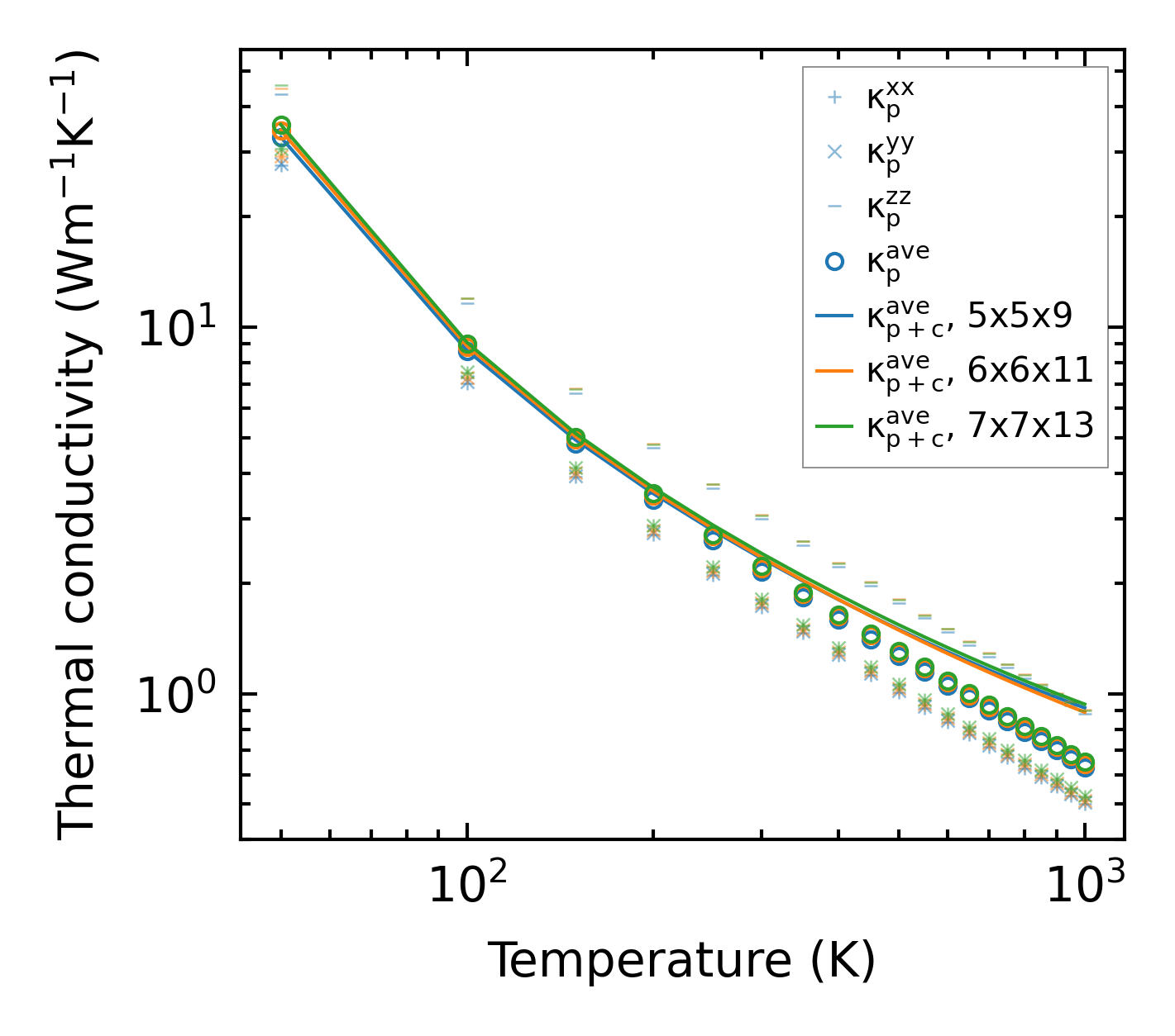
Thermal conductivity

3-phonon (LASSO) — q-mesh: 7x7x13, supercell: 1x1x2

../../_images/fig_kappa5861.png

(a) Temperature-dependent lattice thermal conductivity

../../_images/fig_kappa_vs_grain_size3137.png

(b) Peierls lattice thermal conductivity w.r.t grain size

Phonon lifetime and scattering rates

../../_images/fig_lifetime3069.png

(a) Phonon lifetime due to phonon-phonon scattering

../../_images/fig_scat_rates3068.png

(b) Phonon scattering rates

Cumulative and spectral thermal conductivity

../../_images/fig_cumu_frequency3069.png

(a) Spectral and cumulative thermal conductivity w.r.t frequency

../../_images/fig_cumu_mfp3068.png

(b) Spectral and cumulative thermal conductivity w.r.t MFP

Force constants

../../_images/fig_fc27096.png

(a) Force constants w.r.t atomic distance

Summary

../../_images/fig_kappa5862.png

(a) Temperature-dependent lattice thermal conductivity

../../_images/fig_times13004.png

(b) Computation time