mp-561536-2/NaMgBO3/anharm

Equation of state

../../_images/fig_bm3907.png

(a) Equation of state

Harmonic properties

../../_images/fig_bandos_pr7417.png

(a) Phonon dispersion with participation ratio and DOS

../../_images/fig_thermo7417.png

(b) Thermodynamic properties

Grüneisen parameters

../../_images/fig_gru_all3107.png

(a) Grüneisen parameters

../../_images/fig_gruneisen3107.png

(b) Phonon dispersion with Grüneisen parameters

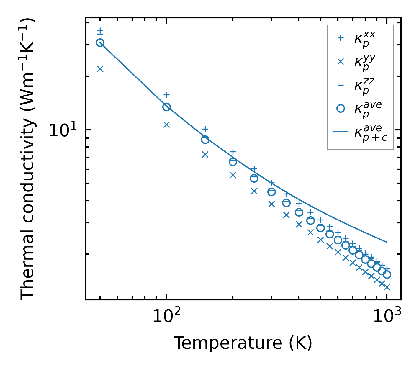
Thermal conductivity

3-phonon (LASSO) — q-mesh: 15x15x13, supercell: 2x1x2

../../_images/fig_kappa5883.png

(a) Temperature-dependent lattice thermal conductivity

../../_images/fig_kappa_vs_grain_size3148.png

(b) Peierls lattice thermal conductivity w.r.t grain size

Phonon lifetime and scattering rates

../../_images/fig_lifetime3080.png

(a) Phonon lifetime due to phonon-phonon scattering

../../_images/fig_scat_rates3079.png

(b) Phonon scattering rates

Cumulative and spectral thermal conductivity

../../_images/fig_cumu_frequency3080.png

(a) Spectral and cumulative thermal conductivity w.r.t frequency

../../_images/fig_cumu_mfp3079.png

(b) Spectral and cumulative thermal conductivity w.r.t MFP

Force constants

../../_images/fig_fc27181.png

(a) Force constants w.r.t atomic distance

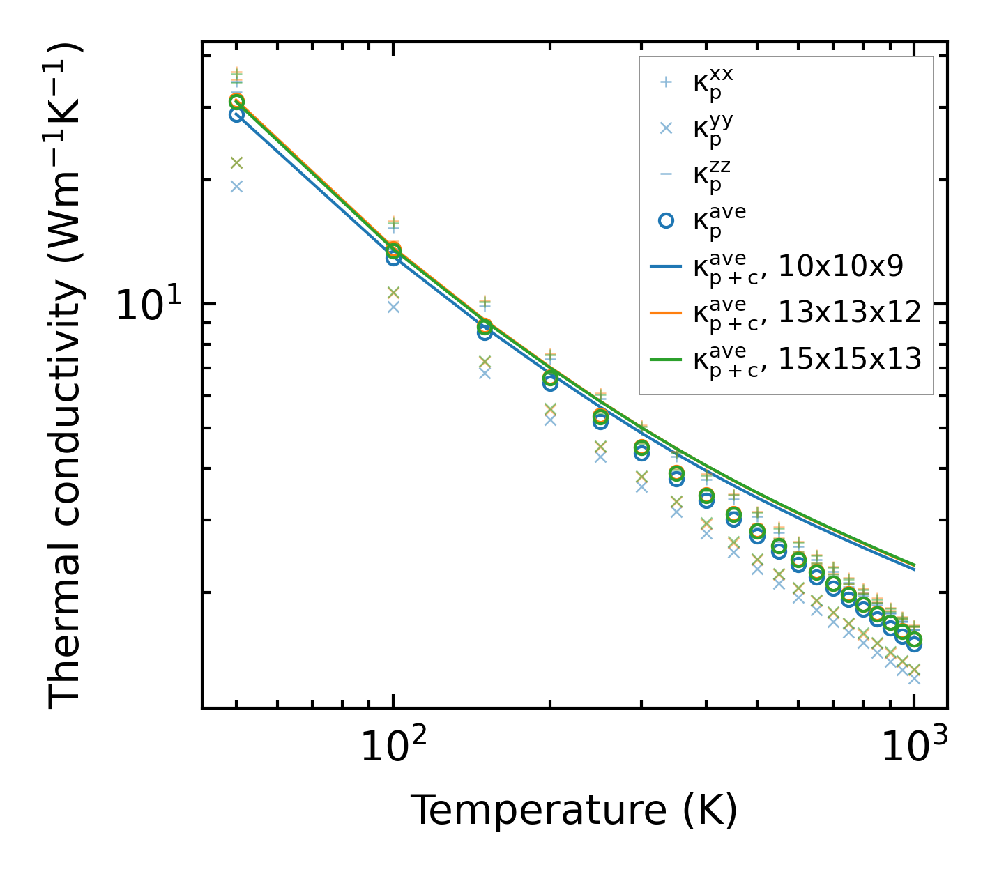
Summary

../../_images/fig_kappa5884.png

(a) Temperature-dependent lattice thermal conductivity

../../_images/fig_times13145.png

(b) Computation time