mp-30984/SI2O6/harm

Harmonic properties

../../_images/fig_bandos_pr11139.png

(a) Phonon dispersion with participation ratio and DOS

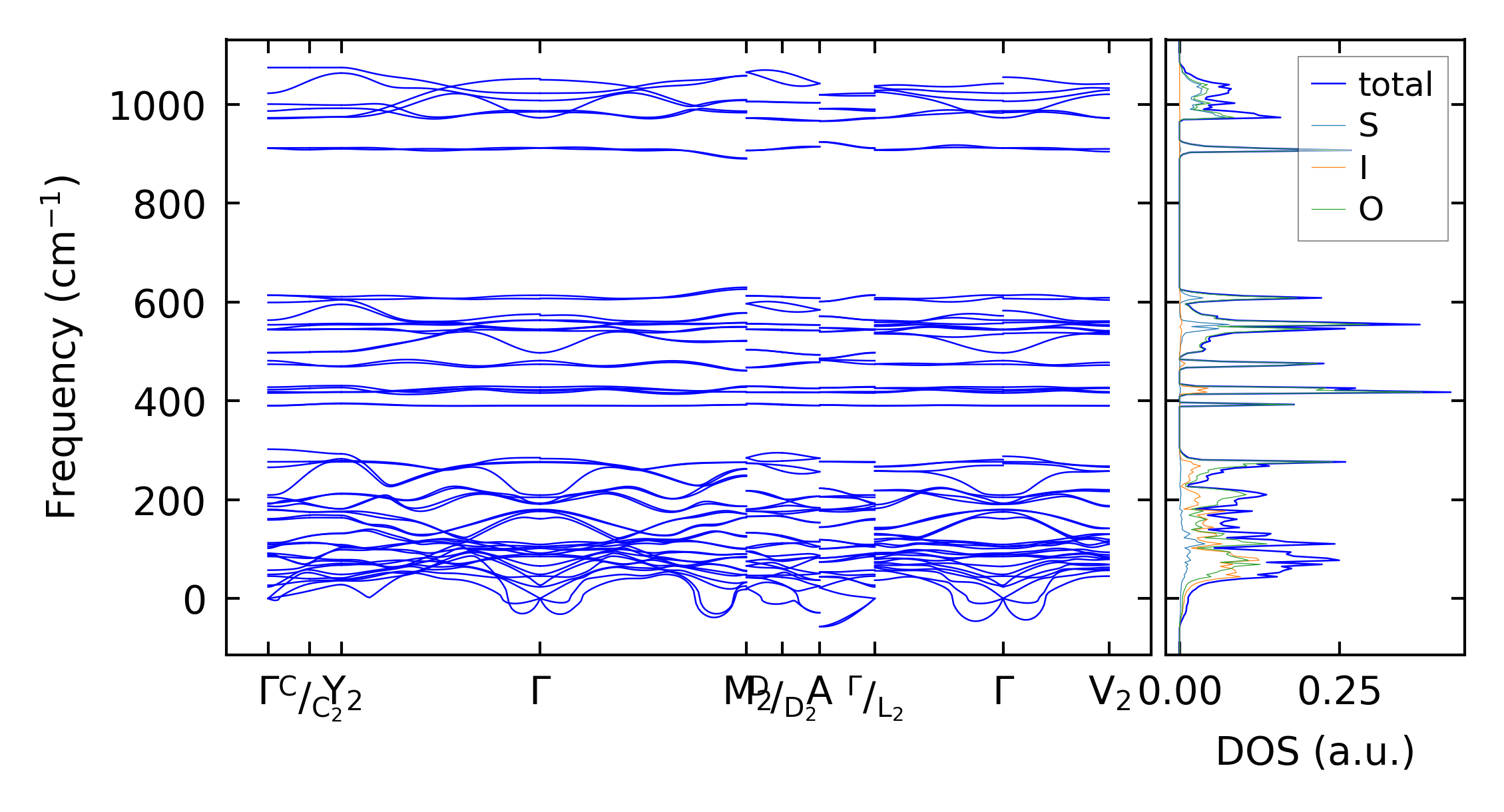
../../_images/fig_bandos15103.png

(b) Phonon dispersion and DOS

../../_images/fig_thermo11139.png

(c) Thermodynamic properties

Force constants

../../_images/fig_fc210856.png

(a) Force constants w.r.t atomic distance

Summary

../../_images/fig_times19045.png

(a) Computation time