mp-30291/Tb4Se3N2/anharm

Harmonic properties

../../_images/fig_bandos_pr11096.png

(a) Phonon dispersion with participation ratio and DOS

../../_images/fig_thermo11096.png

(b) Thermodynamic properties

Grüneisen parameters

../../_images/fig_gru_all4570.png

(a) Grüneisen parameters

../../_images/fig_gruneisen4570.png

(b) Phonon dispersion with Grüneisen parameters

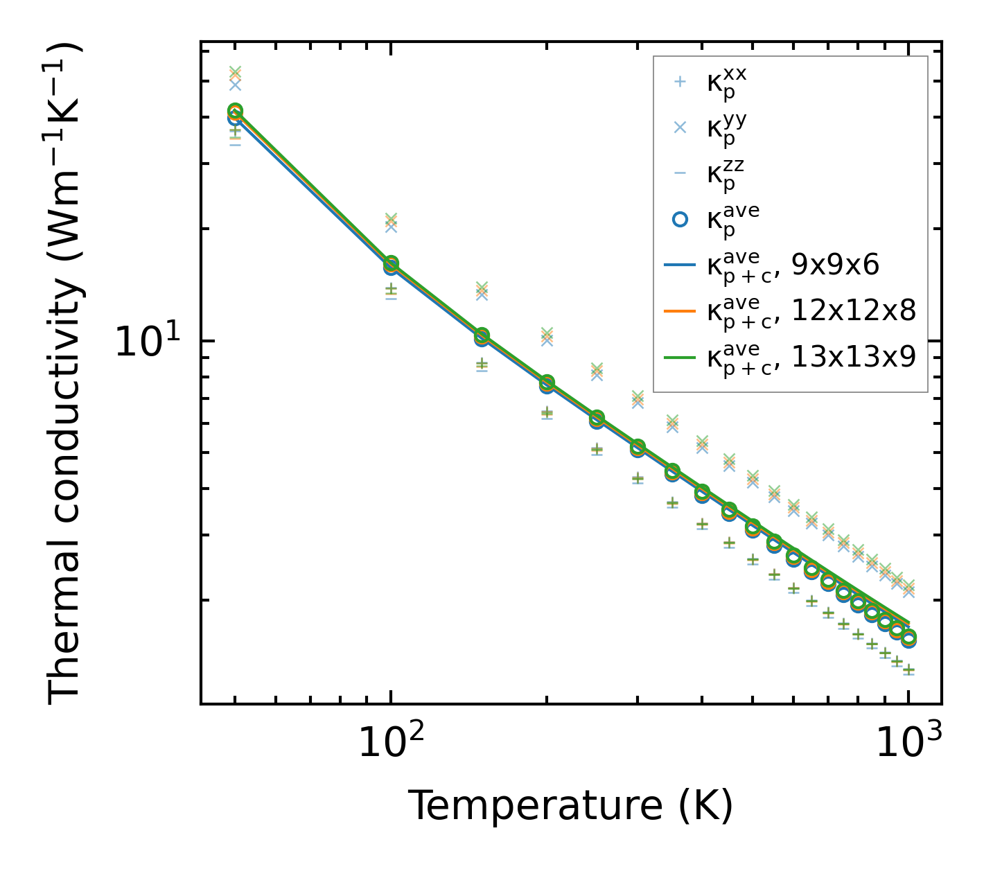
Thermal conductivity

3-phonon (LASSO) — q-mesh: 13x13x9, supercell: 1x4x2

../../_images/fig_kappa8625.png

(a) Temperature-dependent lattice thermal conductivity

../../_images/fig_kappa_vs_grain_size4625.png

(b) Peierls lattice thermal conductivity w.r.t grain size

Phonon lifetime and scattering rates

../../_images/fig_lifetime4526.png

(a) Phonon lifetime due to phonon-phonon scattering

../../_images/fig_scat_rates4525.png

(b) Phonon scattering rates

Cumulative and spectral thermal conductivity

../../_images/fig_cumu_frequency4526.png

(a) Spectral and cumulative thermal conductivity w.r.t frequency

../../_images/fig_cumu_mfp4525.png

(b) Spectral and cumulative thermal conductivity w.r.t MFP

Force constants

../../_images/fig_fc210818.png

(a) Force constants w.r.t atomic distance

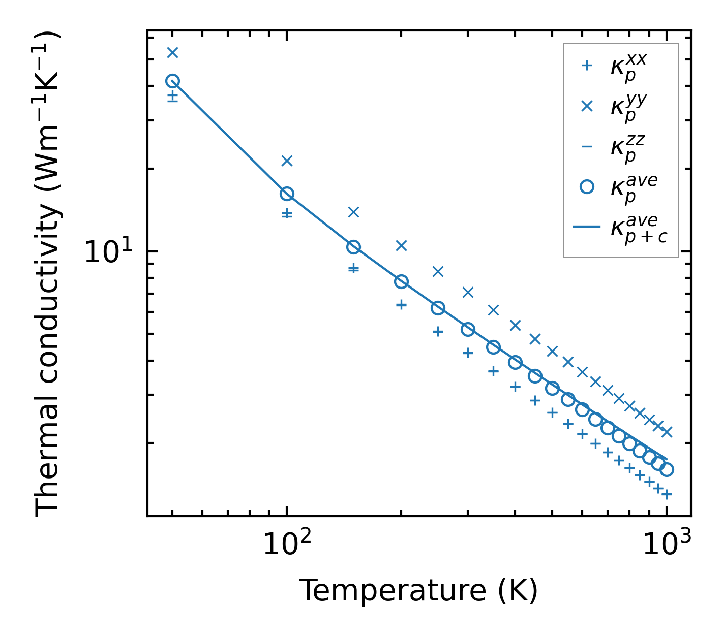
Summary

../../_images/fig_kappa8626.png

(a) Temperature-dependent lattice thermal conductivity

../../_images/fig_times18972.png

(b) Computation time