mp-30039/Na2Al2Sb3/anharm

Harmonic properties

../../_images/fig_bandos_pr11067.png

(a) Phonon dispersion with participation ratio and DOS

../../_images/fig_thermo11067.png

(b) Thermodynamic properties

Grüneisen parameters

../../_images/fig_gru_all4553.png

(a) Grüneisen parameters

../../_images/fig_gruneisen4553.png

(b) Phonon dispersion with Grüneisen parameters

Thermal conductivity

3-phonon (LASSO) — q-mesh: 5x10x4, supercell: 1x2x1

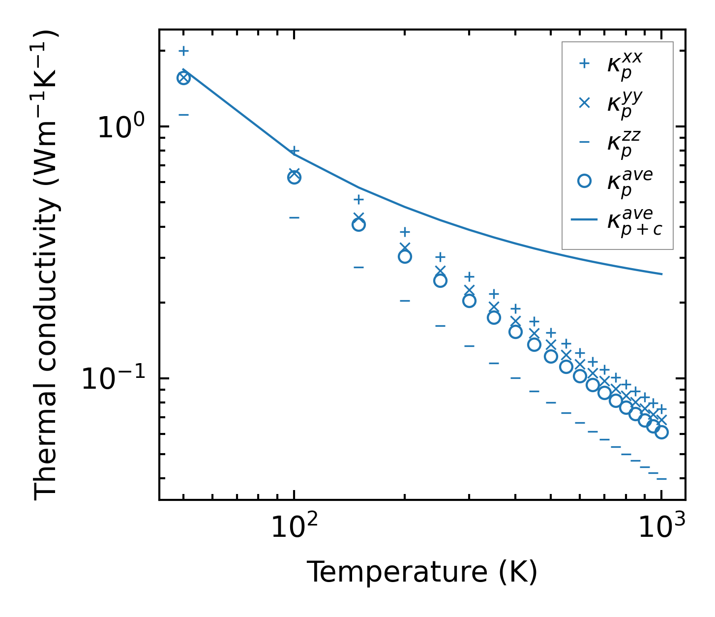
../../_images/fig_kappa8591.png

(a) Temperature-dependent lattice thermal conductivity

../../_images/fig_kappa_vs_grain_size4608.png

(b) Peierls lattice thermal conductivity w.r.t grain size

Phonon lifetime and scattering rates

../../_images/fig_lifetime4509.png

(a) Phonon lifetime due to phonon-phonon scattering

../../_images/fig_scat_rates4508.png

(b) Phonon scattering rates

Cumulative and spectral thermal conductivity

../../_images/fig_cumu_frequency4509.png

(a) Spectral and cumulative thermal conductivity w.r.t frequency

../../_images/fig_cumu_mfp4508.png

(b) Spectral and cumulative thermal conductivity w.r.t MFP

Force constants

../../_images/fig_fc210790.png

(a) Force constants w.r.t atomic distance

Summary

../../_images/fig_kappa8592.png

(a) Temperature-dependent lattice thermal conductivity

../../_images/fig_times18902.png

(b) Computation time