mp-30078/C3S8/anharm

Harmonic properties

../../_images/fig_bandos_pr11076.png

(a) Phonon dispersion with participation ratio and DOS

../../_images/fig_thermo11076.png

(b) Thermodynamic properties

Grüneisen parameters

../../_images/fig_gru_all4560.png

(a) Grüneisen parameters

../../_images/fig_gruneisen4560.png

(b) Phonon dispersion with Grüneisen parameters

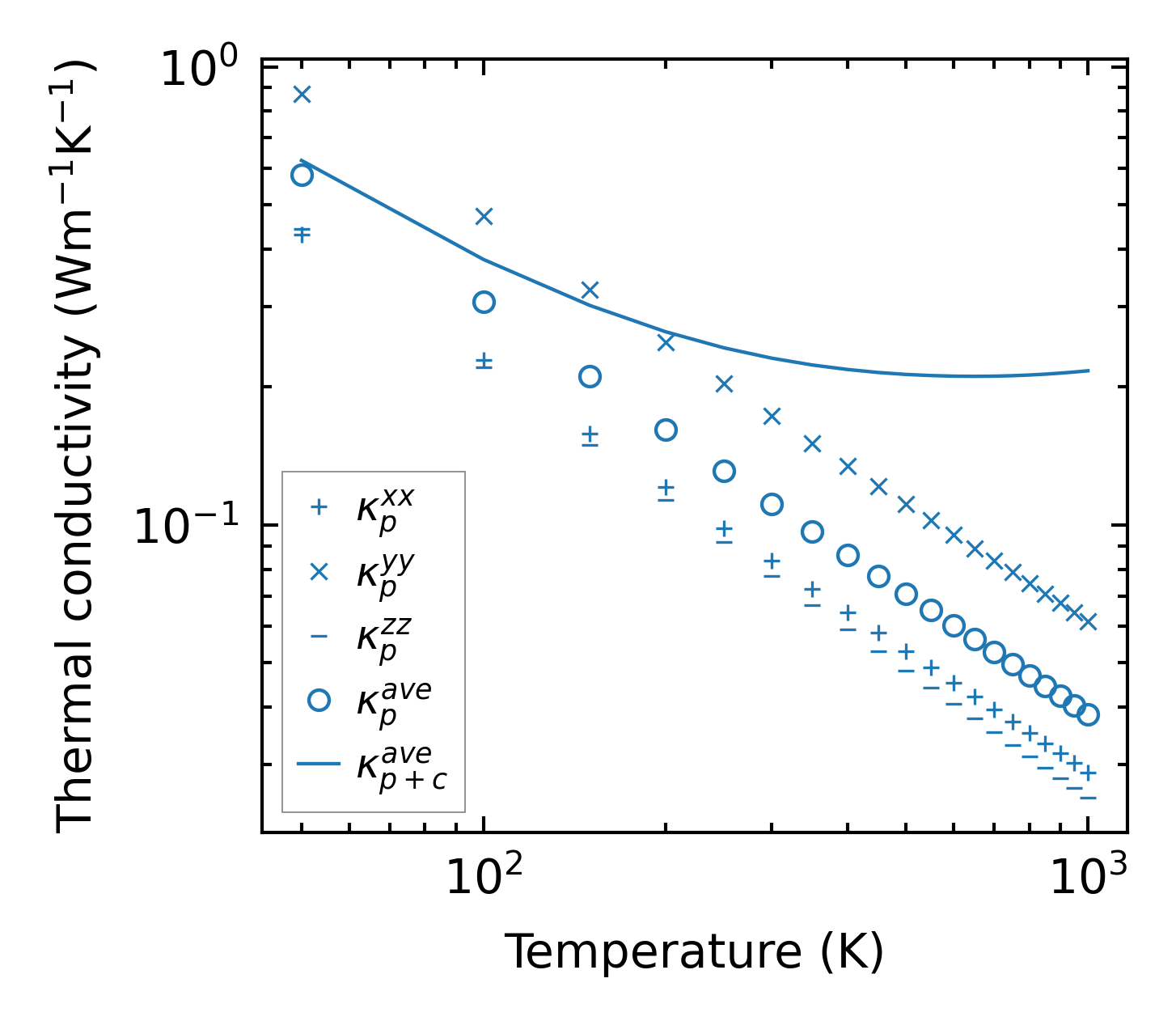
Thermal conductivity

3-phonon (LASSO) — q-mesh: 16x8x6, supercell: 3x2x1

../../_images/fig_kappa8605.png

(a) Temperature-dependent lattice thermal conductivity

../../_images/fig_kappa_vs_grain_size4615.png

(b) Peierls lattice thermal conductivity w.r.t grain size

Phonon lifetime and scattering rates

../../_images/fig_lifetime4516.png

(a) Phonon lifetime due to phonon-phonon scattering

../../_images/fig_scat_rates4515.png

(b) Phonon scattering rates

Cumulative and spectral thermal conductivity

../../_images/fig_cumu_frequency4516.png

(a) Spectral and cumulative thermal conductivity w.r.t frequency

../../_images/fig_cumu_mfp4515.png

(b) Spectral and cumulative thermal conductivity w.r.t MFP

Force constants

../../_images/fig_fc210798.png

(a) Force constants w.r.t atomic distance

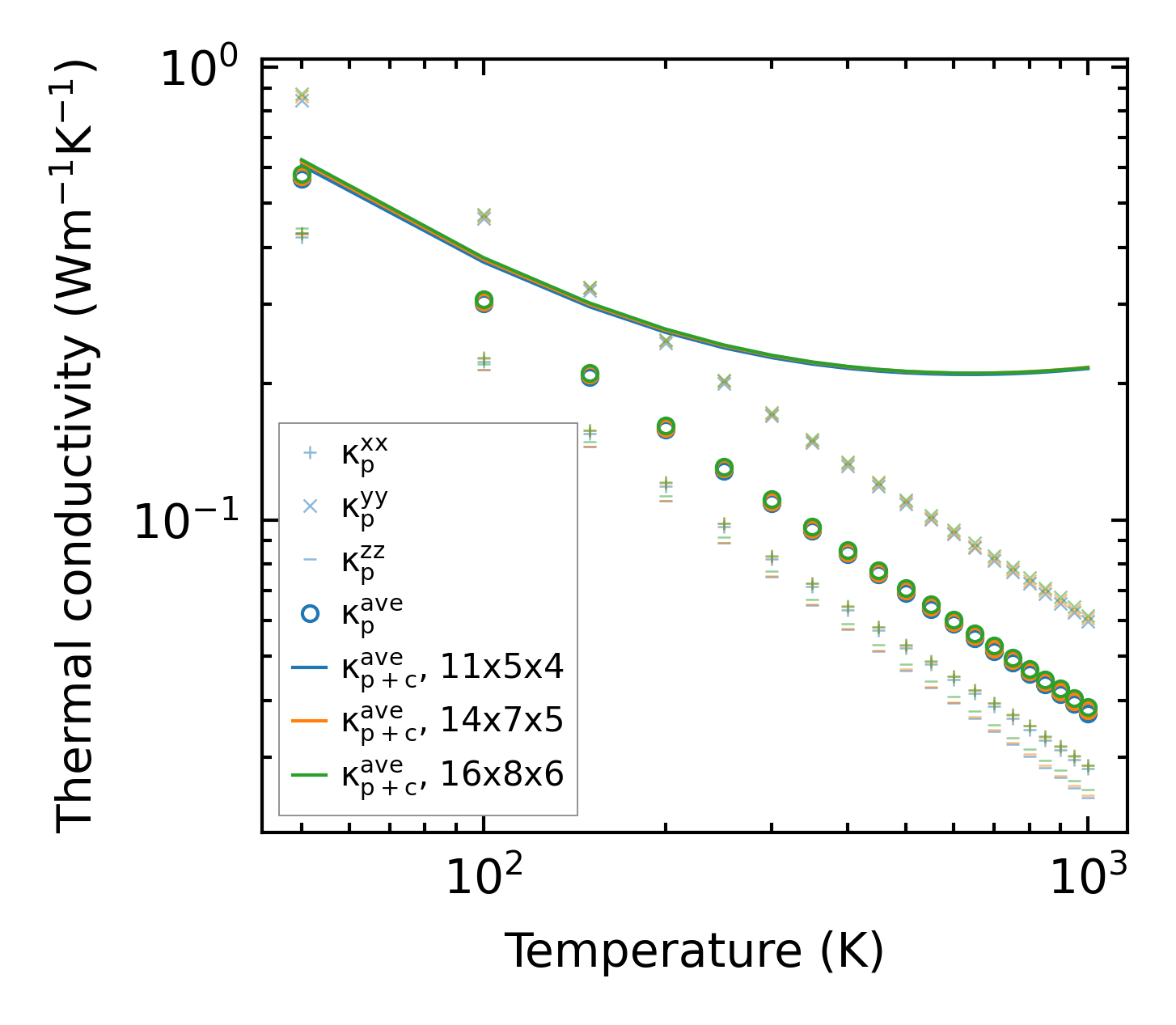
Summary

../../_images/fig_kappa8606.png

(a) Temperature-dependent lattice thermal conductivity

../../_images/fig_times18915.png

(b) Computation time