mp-30275/BaP8/anharm

Harmonic properties

../../_images/fig_bandos_pr11095.png

(a) Phonon dispersion with participation ratio and DOS

../../_images/fig_thermo11095.png

(b) Thermodynamic properties

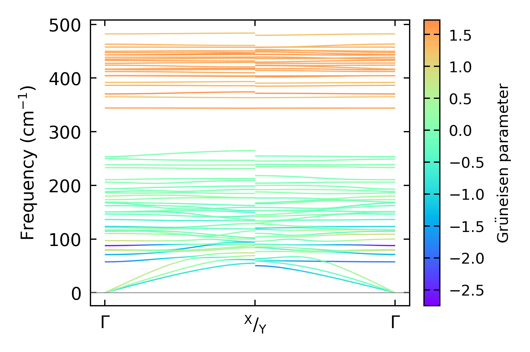
Grüneisen parameters

../../_images/fig_gru_all4569.png

(a) Grüneisen parameters

../../_images/fig_gruneisen4569.png

(b) Phonon dispersion with Grüneisen parameters

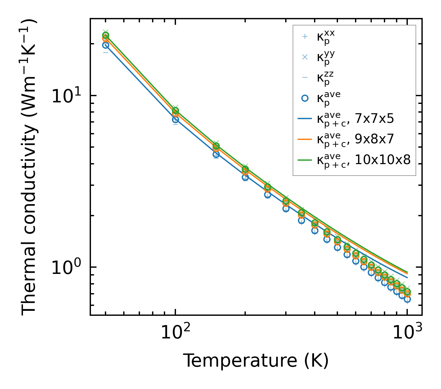
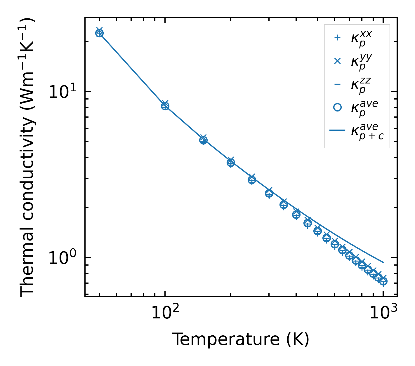
Thermal conductivity

3-phonon (LASSO) — q-mesh: 10x10x8, supercell: 2x2x2

../../_images/fig_kappa8623.png

(a) Temperature-dependent lattice thermal conductivity

../../_images/fig_kappa_vs_grain_size4624.png

(b) Peierls lattice thermal conductivity w.r.t grain size

Phonon lifetime and scattering rates

../../_images/fig_lifetime4525.png

(a) Phonon lifetime due to phonon-phonon scattering

../../_images/fig_scat_rates4524.png

(b) Phonon scattering rates

Cumulative and spectral thermal conductivity

../../_images/fig_cumu_frequency4525.png

(a) Spectral and cumulative thermal conductivity w.r.t frequency

../../_images/fig_cumu_mfp4524.png

(b) Spectral and cumulative thermal conductivity w.r.t MFP

Force constants

../../_images/fig_fc210817.png

(a) Force constants w.r.t atomic distance

Summary

../../_images/fig_kappa8624.png

(a) Temperature-dependent lattice thermal conductivity

../../_images/fig_times18969.png

(b) Computation time