mp-30031/CaI2/anharm

Harmonic properties

../../_images/fig_bandos_pr11061.png

(a) Phonon dispersion with participation ratio and DOS

../../_images/fig_thermo11061.png

(b) Thermodynamic properties

Grüneisen parameters

../../_images/fig_gru_all4547.png

(a) Grüneisen parameters

../../_images/fig_gruneisen4547.png

(b) Phonon dispersion with Grüneisen parameters

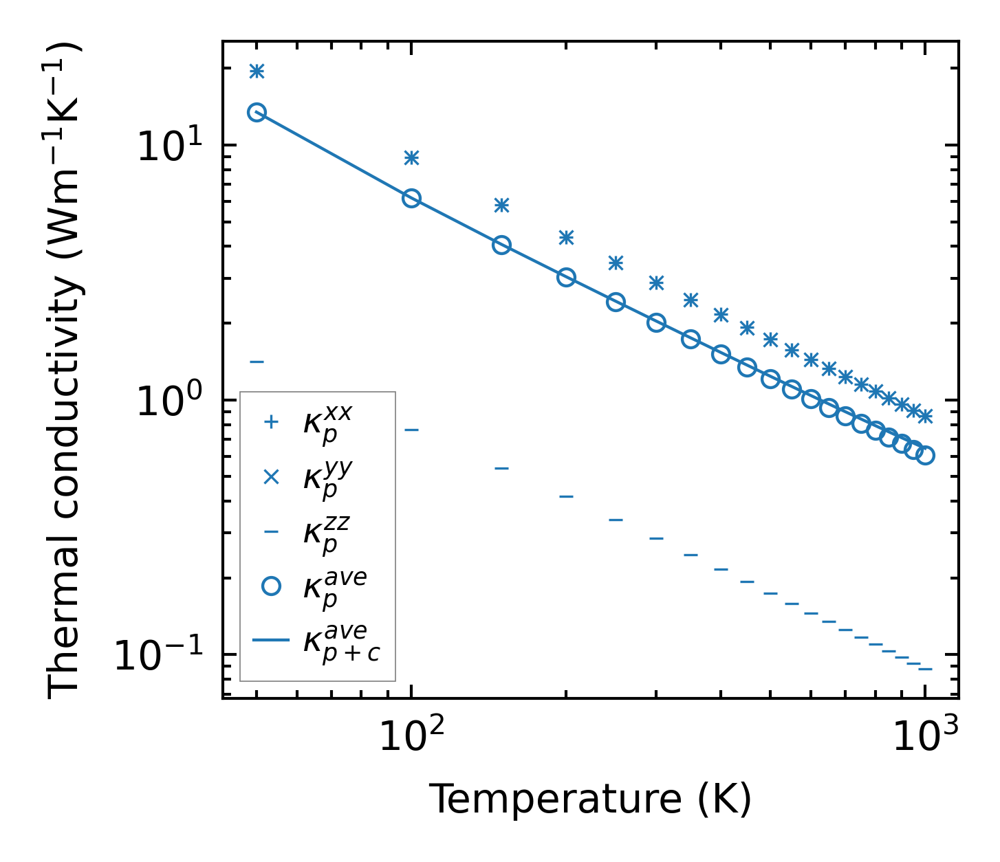
Thermal conductivity

3-phonon — q-mesh: 16x16x10, supercell: 4x4x3

../../_images/fig_kappa8579.png

(a) Temperature-dependent lattice thermal conductivity

../../_images/fig_kappa_vs_grain_size4602.png

(b) Peierls lattice thermal conductivity w.r.t grain size

Phonon lifetime and scattering rates

../../_images/fig_lifetime4503.png

(a) Phonon lifetime due to phonon-phonon scattering

../../_images/fig_scat_rates4502.png

(b) Phonon scattering rates

Cumulative and spectral thermal conductivity

../../_images/fig_cumu_frequency4503.png

(a) Spectral and cumulative thermal conductivity w.r.t frequency

../../_images/fig_cumu_mfp4502.png

(b) Spectral and cumulative thermal conductivity w.r.t MFP

Force constants

../../_images/fig_fc3277.png

(a) Force constants w.r.t atomic distance

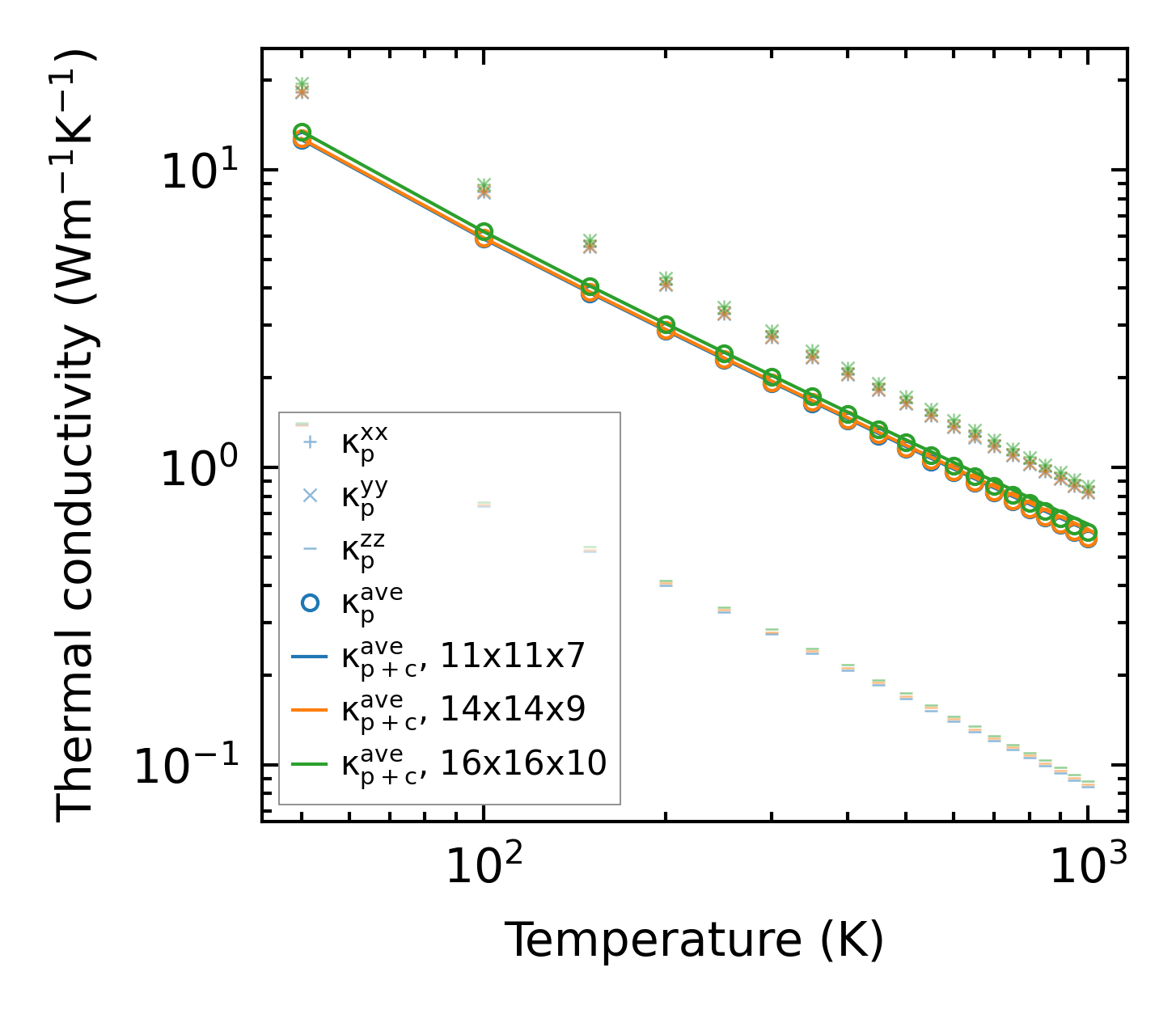
Summary

../../_images/fig_kappa8580.png

(a) Temperature-dependent lattice thermal conductivity

../../_images/fig_times18896.png

(b) Computation time