mp-30460/YNiBi/anharm

Harmonic properties

../../_images/fig_bandos_pr11111.png

(a) Phonon dispersion with participation ratio and DOS

../../_images/fig_thermo11111.png

(b) Thermodynamic properties

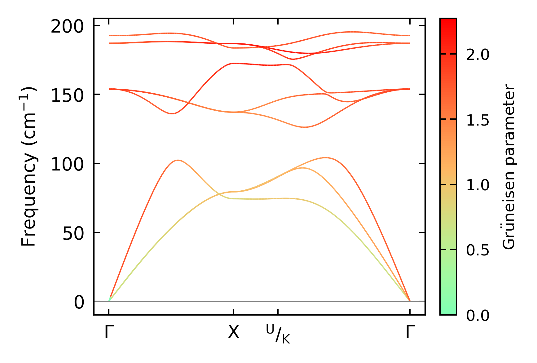
Grüneisen parameters

../../_images/fig_gru_all4578.png

(a) Grüneisen parameters

../../_images/fig_gruneisen4578.png

(b) Phonon dispersion with Grüneisen parameters

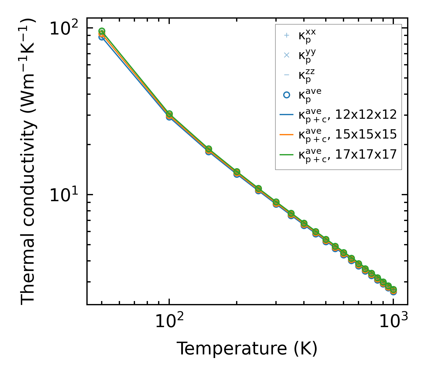
Thermal conductivity

3-phonon — q-mesh: 17x17x17, supercell: 2x2x2

../../_images/fig_kappa8640.png

(a) Temperature-dependent lattice thermal conductivity

../../_images/fig_kappa_vs_grain_size4633.png

(b) Peierls lattice thermal conductivity w.r.t grain size

Phonon lifetime and scattering rates

../../_images/fig_lifetime4534.png

(a) Phonon lifetime due to phonon-phonon scattering

../../_images/fig_scat_rates4533.png

(b) Phonon scattering rates

Cumulative and spectral thermal conductivity

../../_images/fig_cumu_frequency4534.png

(a) Spectral and cumulative thermal conductivity w.r.t frequency

../../_images/fig_cumu_mfp4533.png

(b) Spectral and cumulative thermal conductivity w.r.t MFP

Force constants

../../_images/fig_fc3282.png

(a) Force constants w.r.t atomic distance

Summary

../../_images/fig_kappa8641.png

(a) Temperature-dependent lattice thermal conductivity

../../_images/fig_times18995.png

(b) Computation time