mp-30314/Cs2PdCl4/anharm

Harmonic properties

../../_images/fig_bandos_pr11102.png

(a) Phonon dispersion with participation ratio and DOS

../../_images/fig_thermo11102.png

(b) Thermodynamic properties

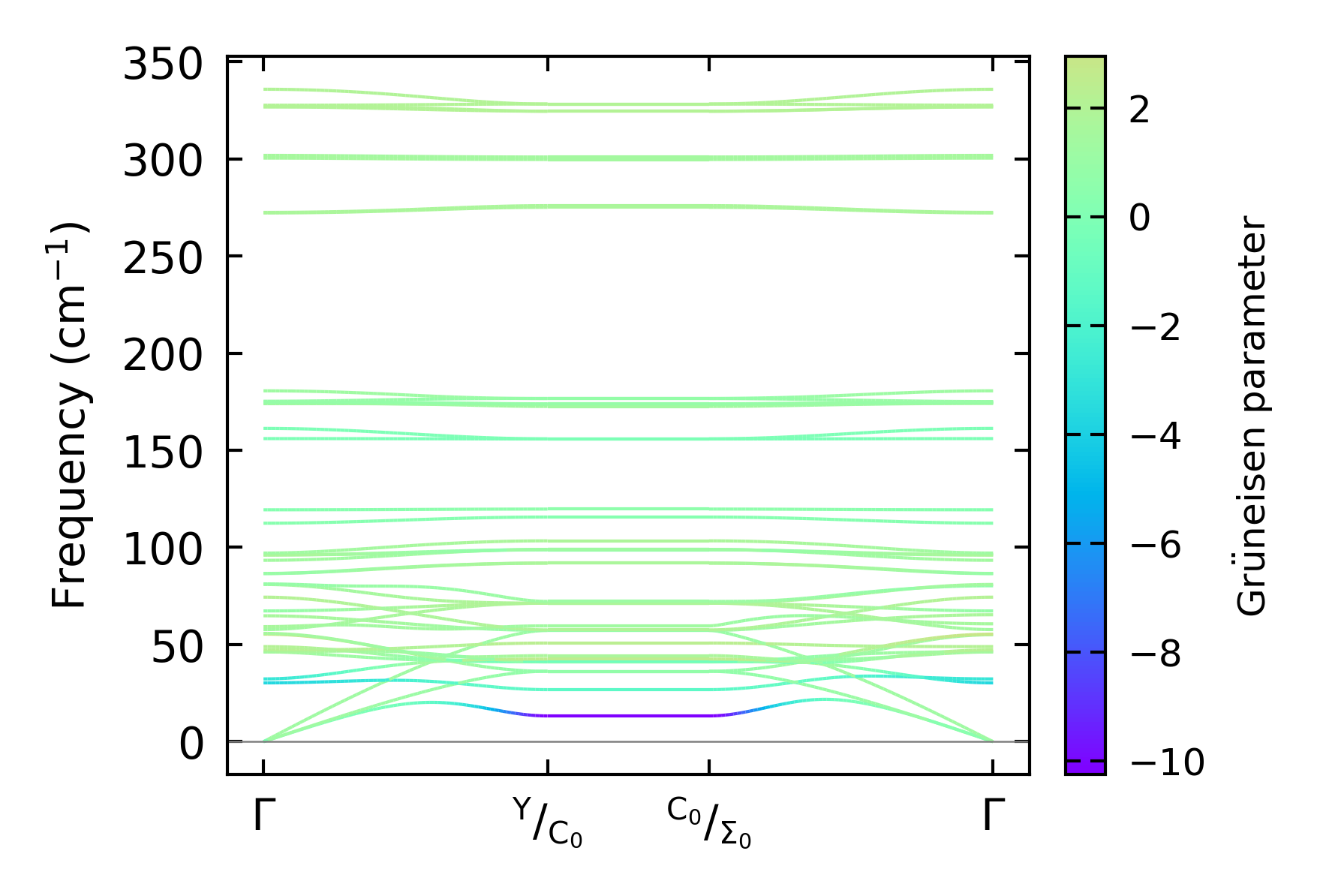
Grüneisen parameters

../../_images/fig_gru_all4572.png

(a) Grüneisen parameters

../../_images/fig_gruneisen4572.png

(b) Phonon dispersion with Grüneisen parameters

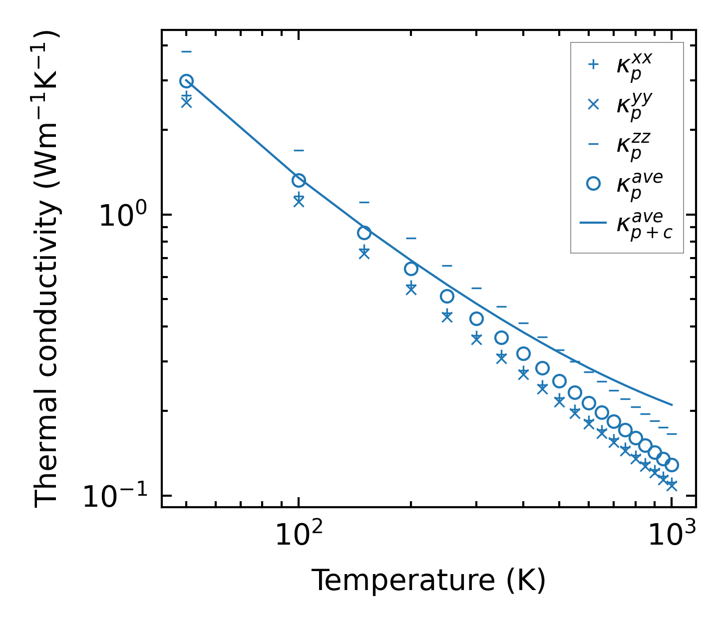
Thermal conductivity

3-phonon (LASSO) — q-mesh: 9x9x7, supercell: 1x2x2

../../_images/fig_kappa8629.png

(a) Temperature-dependent lattice thermal conductivity

../../_images/fig_kappa_vs_grain_size4627.png

(b) Peierls lattice thermal conductivity w.r.t grain size

Phonon lifetime and scattering rates

../../_images/fig_lifetime4528.png

(a) Phonon lifetime due to phonon-phonon scattering

../../_images/fig_scat_rates4527.png

(b) Phonon scattering rates

Cumulative and spectral thermal conductivity

../../_images/fig_cumu_frequency4528.png

(a) Spectral and cumulative thermal conductivity w.r.t frequency

../../_images/fig_cumu_mfp4527.png

(b) Spectral and cumulative thermal conductivity w.r.t MFP

Force constants

../../_images/fig_fc210824.png

(a) Force constants w.r.t atomic distance

Summary

../../_images/fig_kappa8630.png

(a) Temperature-dependent lattice thermal conductivity

../../_images/fig_times18985.png

(b) Computation time