mp-30239/Sr3B2S6/anharm

Harmonic properties

../../_images/fig_bandos_pr11091.png

(a) Phonon dispersion with participation ratio and DOS

../../_images/fig_thermo11091.png

(b) Thermodynamic properties

Grüneisen parameters

../../_images/fig_gru_all4565.png

(a) Grüneisen parameters

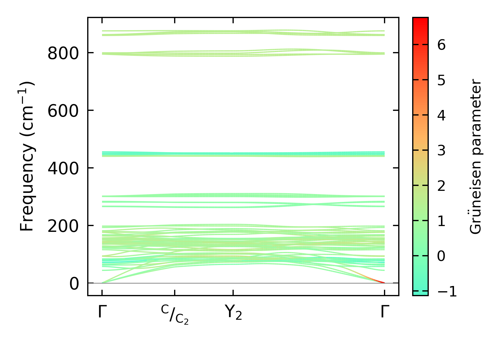
../../_images/fig_gruneisen4565.png

(b) Phonon dispersion with Grüneisen parameters

Thermal conductivity

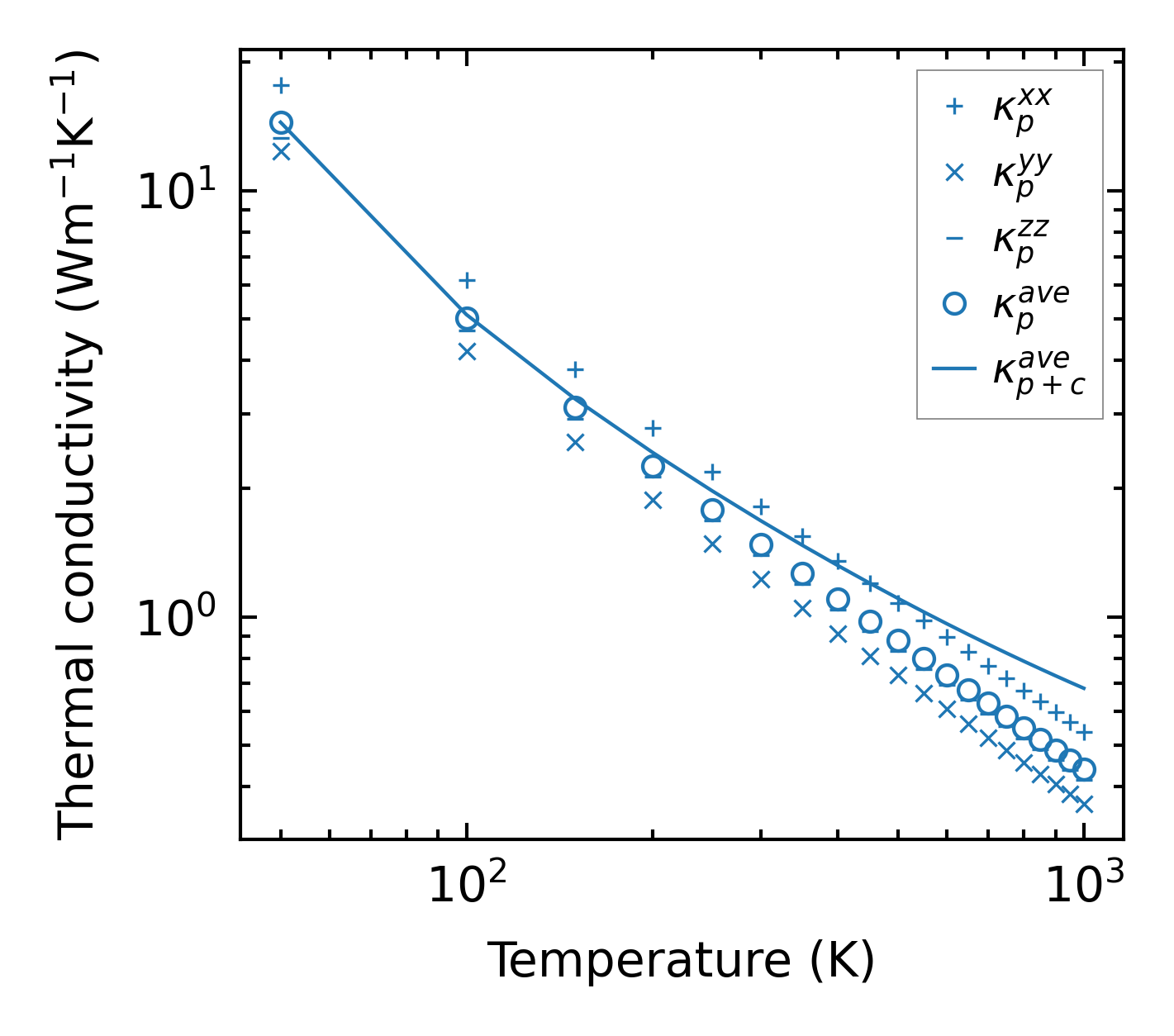
3-phonon (LASSO) — q-mesh: 12x12x4, supercell: 1x2x1

../../_images/fig_kappa8615.png

(a) Temperature-dependent lattice thermal conductivity

../../_images/fig_kappa_vs_grain_size4620.png

(b) Peierls lattice thermal conductivity w.r.t grain size

Phonon lifetime and scattering rates

../../_images/fig_lifetime4521.png

(a) Phonon lifetime due to phonon-phonon scattering

../../_images/fig_scat_rates4520.png

(b) Phonon scattering rates

Cumulative and spectral thermal conductivity

../../_images/fig_cumu_frequency4521.png

(a) Spectral and cumulative thermal conductivity w.r.t frequency

../../_images/fig_cumu_mfp4520.png

(b) Spectral and cumulative thermal conductivity w.r.t MFP

Force constants

../../_images/fig_fc210813.png

(a) Force constants w.r.t atomic distance

Summary

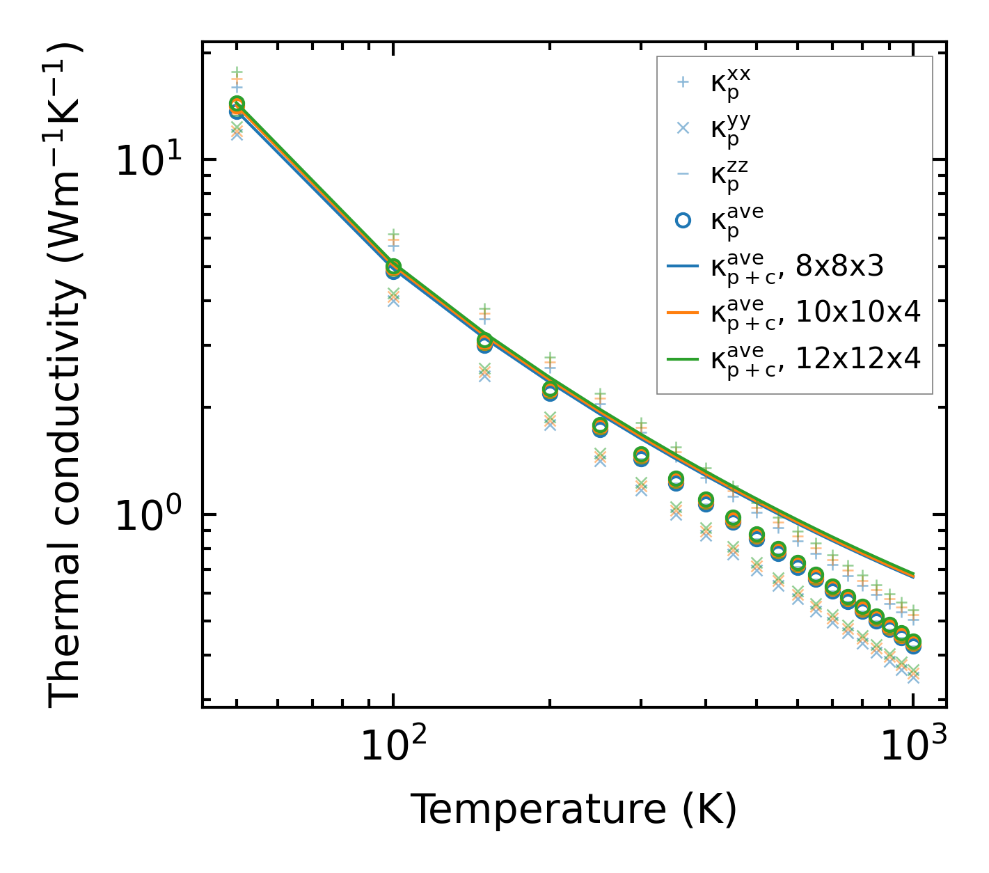
../../_images/fig_kappa8616.png

(a) Temperature-dependent lattice thermal conductivity

../../_images/fig_times18958.png

(b) Computation time