mp-30459/ScNiBi/anharm

Harmonic properties

../../_images/fig_bandos_pr11110.png

(a) Phonon dispersion with participation ratio and DOS

../../_images/fig_thermo11110.png

(b) Thermodynamic properties

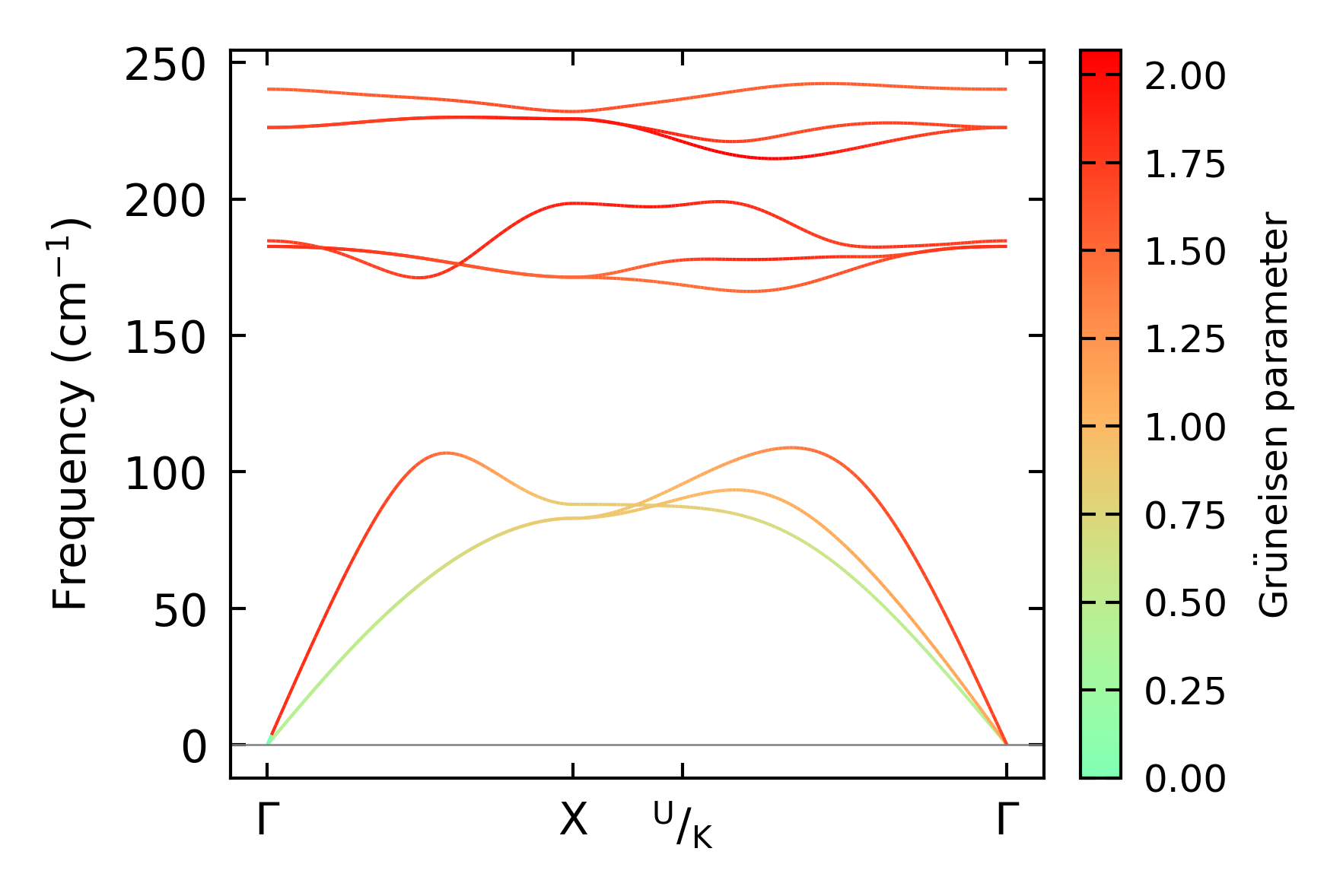
Grüneisen parameters

../../_images/fig_gru_all4577.png

(a) Grüneisen parameters

../../_images/fig_gruneisen4577.png

(b) Phonon dispersion with Grüneisen parameters

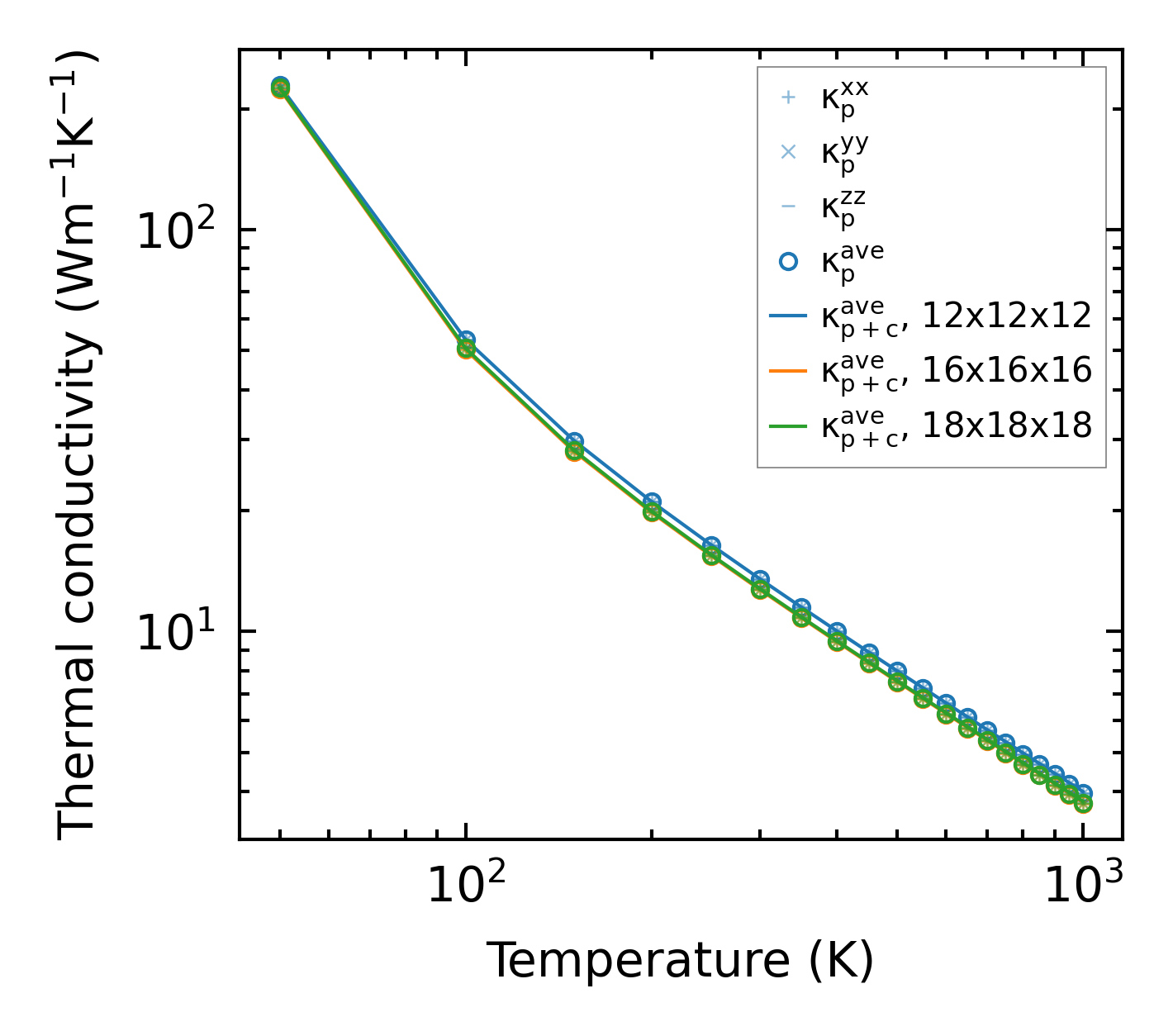
Thermal conductivity

3-phonon — q-mesh: 18x18x18, supercell: 2x2x2

../../_images/fig_kappa8638.png

(a) Temperature-dependent lattice thermal conductivity

../../_images/fig_kappa_vs_grain_size4632.png

(b) Peierls lattice thermal conductivity w.r.t grain size

Phonon lifetime and scattering rates

../../_images/fig_lifetime4533.png

(a) Phonon lifetime due to phonon-phonon scattering

../../_images/fig_scat_rates4532.png

(b) Phonon scattering rates

Cumulative and spectral thermal conductivity

../../_images/fig_cumu_frequency4533.png

(a) Spectral and cumulative thermal conductivity w.r.t frequency

../../_images/fig_cumu_mfp4532.png

(b) Spectral and cumulative thermal conductivity w.r.t MFP

Force constants

../../_images/fig_fc3281.png

(a) Force constants w.r.t atomic distance

Summary

../../_images/fig_kappa8639.png

(a) Temperature-dependent lattice thermal conductivity

../../_images/fig_times18994.png

(b) Computation time