mp-30140/BeI2/anharm

Harmonic properties

../../_images/fig_bandos_pr11081.png

(a) Phonon dispersion with participation ratio and DOS

../../_images/fig_thermo11081.png

(b) Thermodynamic properties

Grüneisen parameters

../../_images/fig_gru_all4563.png

(a) Grüneisen parameters

../../_images/fig_gruneisen4563.png

(b) Phonon dispersion with Grüneisen parameters

Thermal conductivity

3-phonon (LASSO) — q-mesh: 6x6x6, supercell: 1x1x1

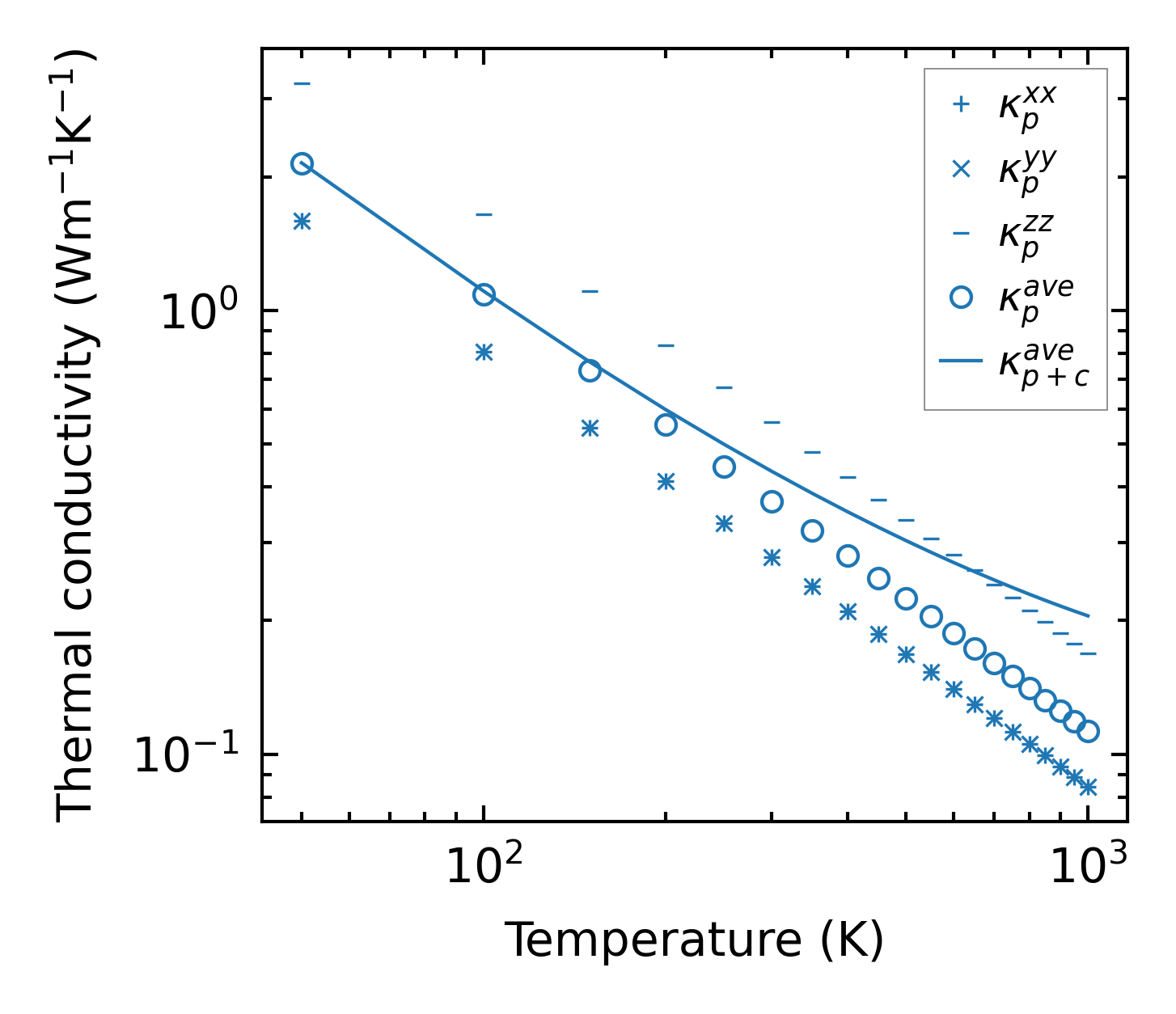
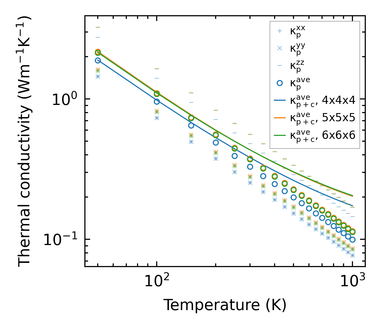
../../_images/fig_kappa8611.png

(a) Temperature-dependent lattice thermal conductivity

../../_images/fig_kappa_vs_grain_size4618.png

(b) Peierls lattice thermal conductivity w.r.t grain size

Phonon lifetime and scattering rates

../../_images/fig_lifetime4519.png

(a) Phonon lifetime due to phonon-phonon scattering

../../_images/fig_scat_rates4518.png

(b) Phonon scattering rates

Cumulative and spectral thermal conductivity

../../_images/fig_cumu_frequency4519.png

(a) Spectral and cumulative thermal conductivity w.r.t frequency

../../_images/fig_cumu_mfp4518.png

(b) Spectral and cumulative thermal conductivity w.r.t MFP

Force constants

../../_images/fig_fc210803.png

(a) Force constants w.r.t atomic distance

Summary

../../_images/fig_kappa8612.png

(a) Temperature-dependent lattice thermal conductivity

../../_images/fig_times18930.png

(b) Computation time