mp-30293/Sr2GeSe4/anharm

Harmonic properties

../../_images/fig_bandos_pr11097.png

(a) Phonon dispersion with participation ratio and DOS

../../_images/fig_thermo11097.png

(b) Thermodynamic properties

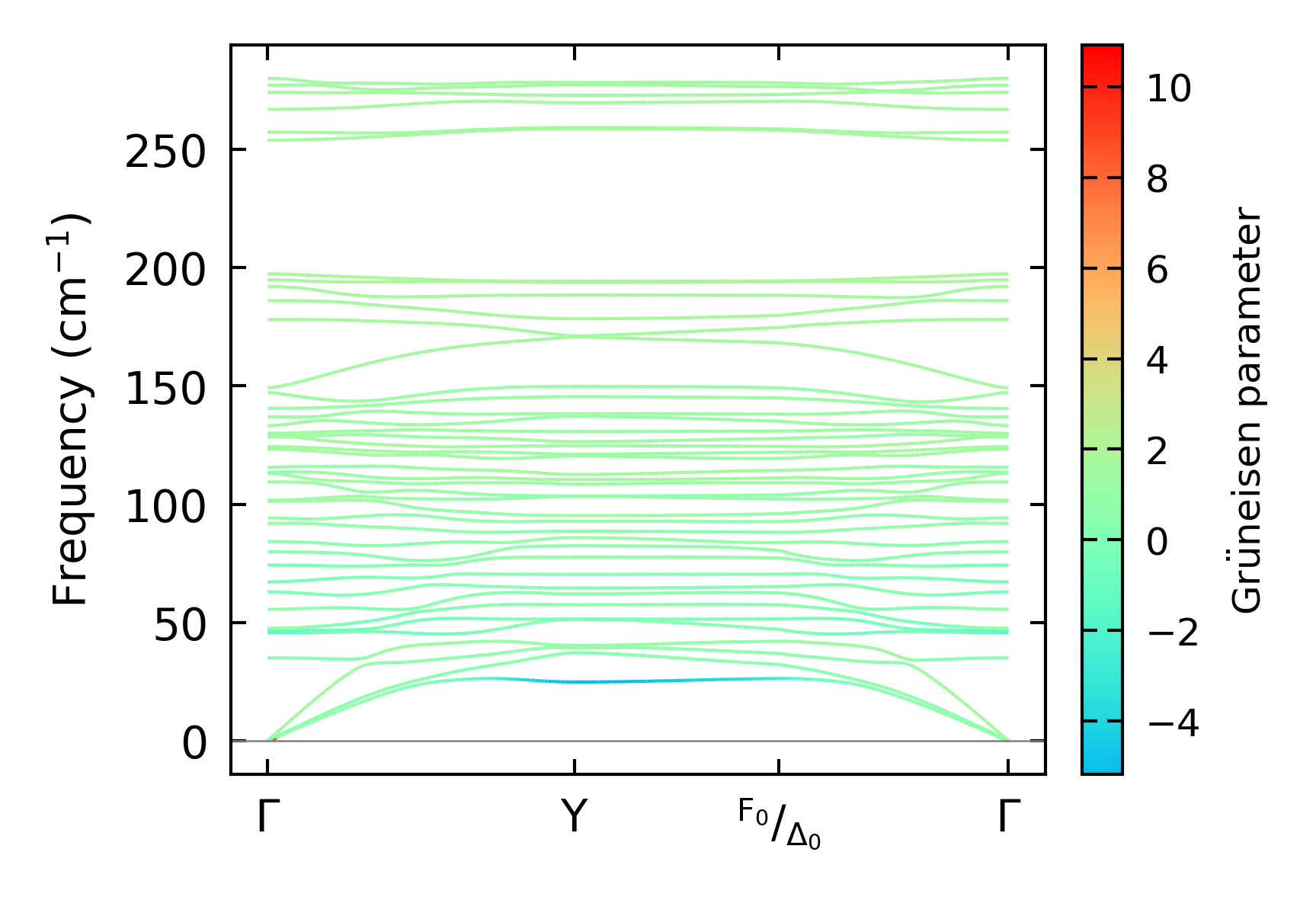
Grüneisen parameters

../../_images/fig_gru_all4571.png

(a) Grüneisen parameters

../../_images/fig_gruneisen4571.png

(b) Phonon dispersion with Grüneisen parameters

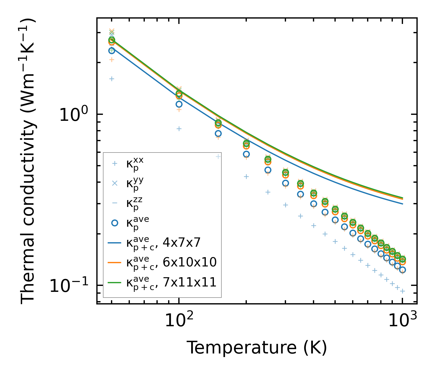
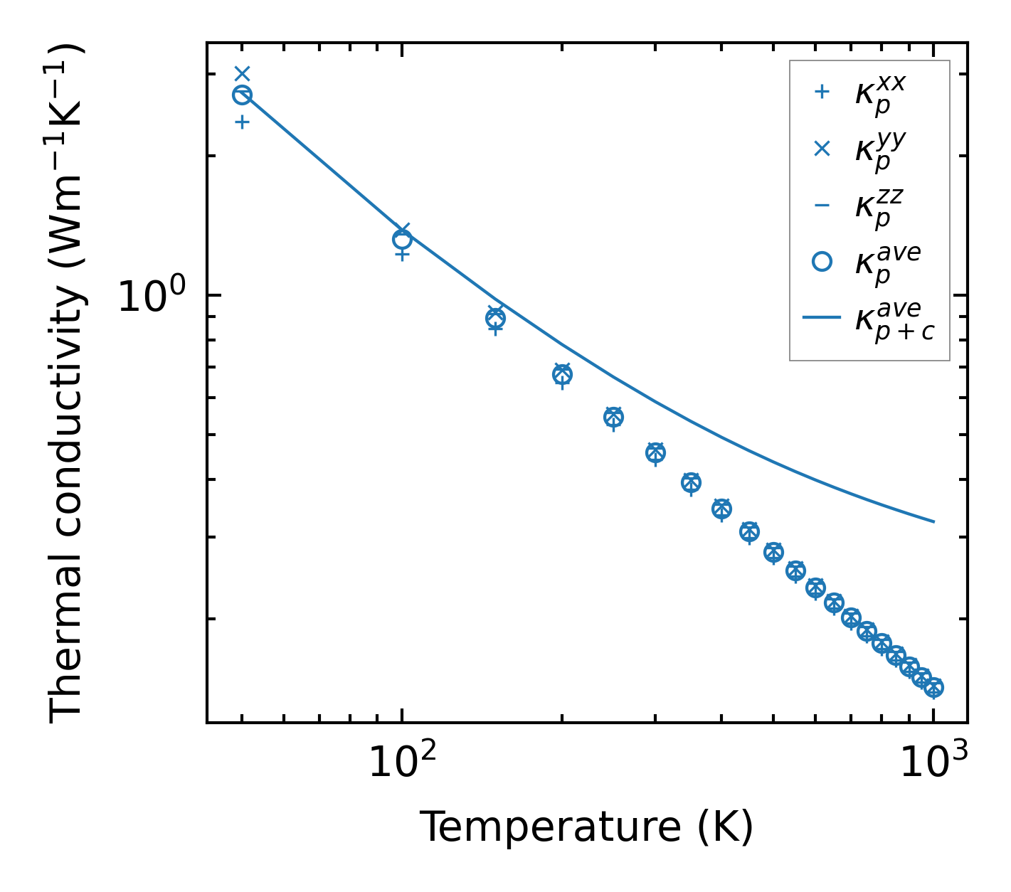
Thermal conductivity

3-phonon (LASSO) — q-mesh: 7x11x11, supercell: 2x1x2

../../_images/fig_kappa8627.png

(a) Temperature-dependent lattice thermal conductivity

../../_images/fig_kappa_vs_grain_size4626.png

(b) Peierls lattice thermal conductivity w.r.t grain size

Phonon lifetime and scattering rates

../../_images/fig_lifetime4527.png

(a) Phonon lifetime due to phonon-phonon scattering

../../_images/fig_scat_rates4526.png

(b) Phonon scattering rates

Cumulative and spectral thermal conductivity

../../_images/fig_cumu_frequency4527.png

(a) Spectral and cumulative thermal conductivity w.r.t frequency

../../_images/fig_cumu_mfp4526.png

(b) Spectral and cumulative thermal conductivity w.r.t MFP

Force constants

../../_images/fig_fc210819.png

(a) Force constants w.r.t atomic distance

Summary

../../_images/fig_kappa8628.png

(a) Temperature-dependent lattice thermal conductivity

../../_images/fig_times18973.png

(b) Computation time