mp-30953-2/GaBr3/anharm

Equation of state

../../_images/fig_bm5447.png

(a) Equation of state

Harmonic properties

../../_images/fig_bandos_pr11130.png

(a) Phonon dispersion with participation ratio and DOS

../../_images/fig_bandos15089.png

(b) Phonon dispersion and DOS

../../_images/fig_thermo11130.png

(c) Thermodynamic properties

Grüneisen parameters

../../_images/fig_gru_all4585.png

(a) Grüneisen parameters

../../_images/fig_gruneisen4585.png

(b) Phonon dispersion with Grüneisen parameters

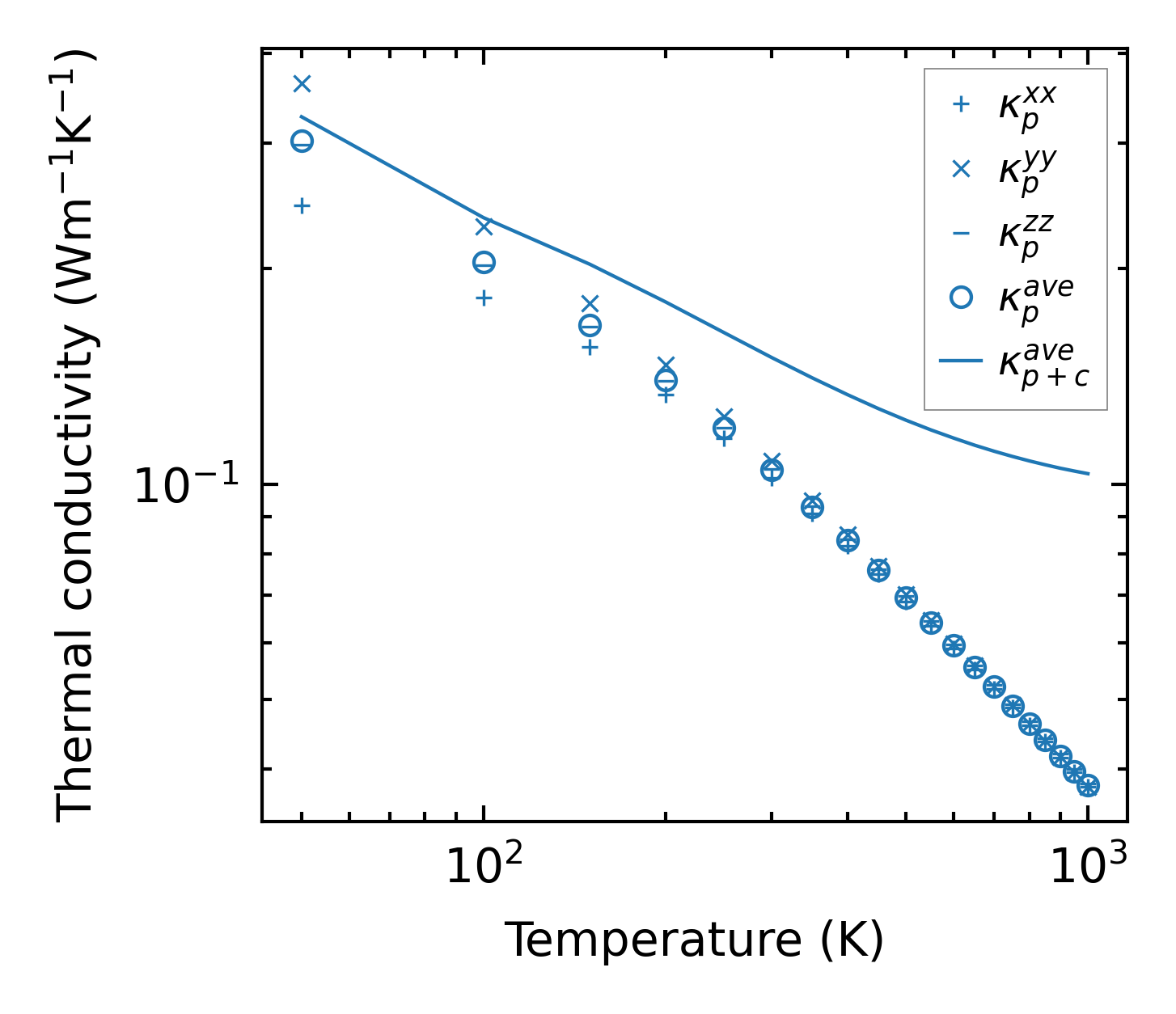
Thermal conductivity

3-phonon (LASSO), supercell 2x3x2 — q-mesh: 8x12x6, supercell: 2x3x2

../../_images/fig_kappa8654.png

(a) Temperature-dependent lattice thermal conductivity

../../_images/fig_kappa_vs_grain_size4640.png

(b) Peierls lattice thermal conductivity w.r.t grain size

Phonon lifetime and scattering rates

../../_images/fig_lifetime4541.png

(a) Phonon lifetime due to phonon-phonon scattering

../../_images/fig_scat_rates4540.png

(b) Phonon scattering rates

Cumulative and spectral thermal conductivity

../../_images/fig_cumu_frequency4541.png

(a) Spectral and cumulative thermal conductivity w.r.t frequency

../../_images/fig_cumu_mfp4540.png

(b) Spectral and cumulative thermal conductivity w.r.t MFP

Force constants

../../_images/fig_fc210847.png

(a) Force constants w.r.t atomic distance

Summary

../../_images/fig_times19029.png

(a) Computation time