mp-1192840/KZn2CdB2O6F/anharm

Harmonic properties

../../_images/fig_bandos_pr15816.png

(a) Phonon dispersion with participation ratio and DOS

../../_images/fig_thermo15815.png

(b) Thermodynamic properties

Grüneisen parameters

../../_images/fig_gru_all6847.png

(a) Grüneisen parameters

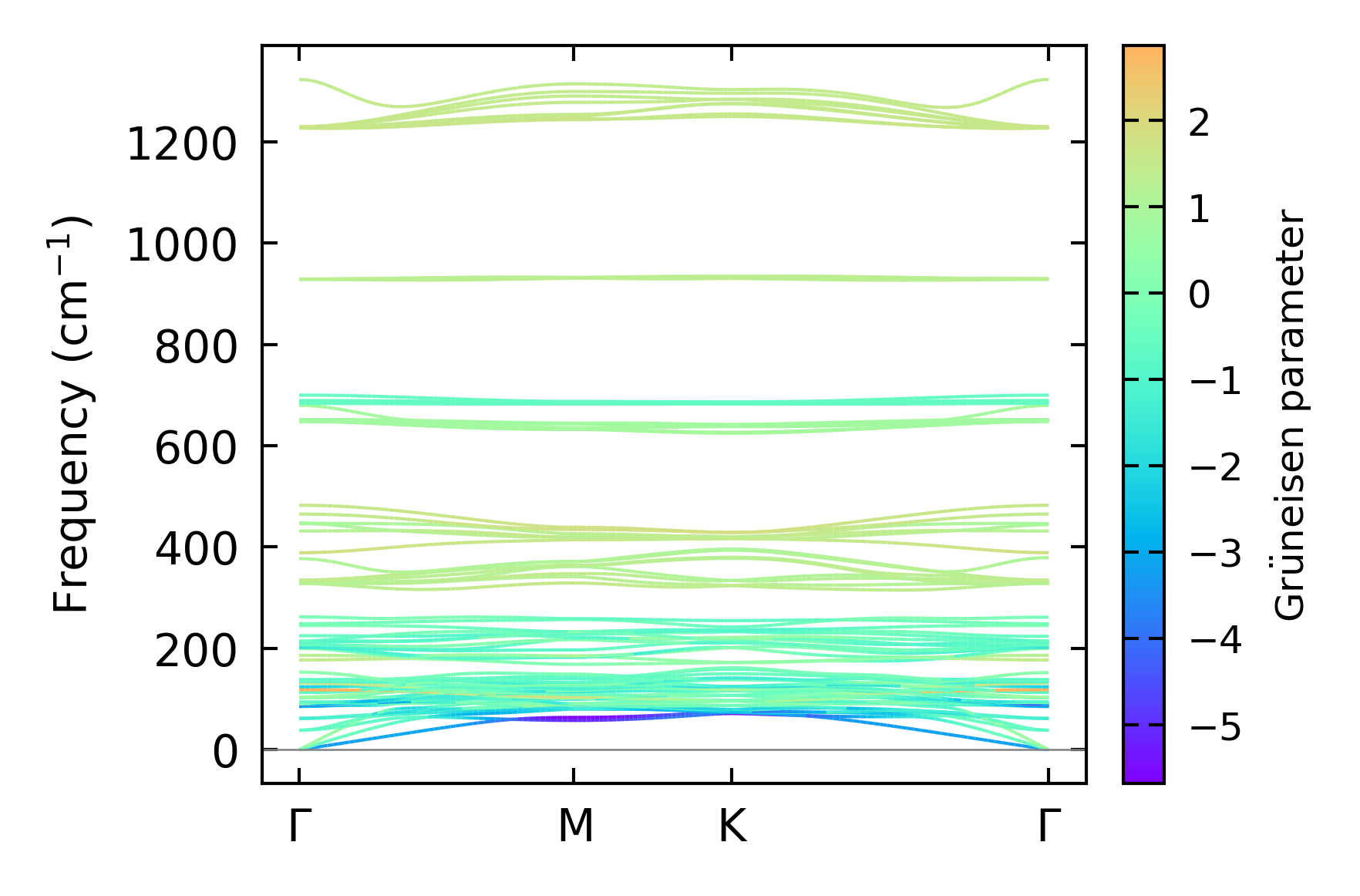
../../_images/fig_gruneisen6847.png

(b) Phonon dispersion with Grüneisen parameters

Thermal conductivity

3-phonon (LASSO) — q-mesh: 14x14x5, supercell: 2x2x1

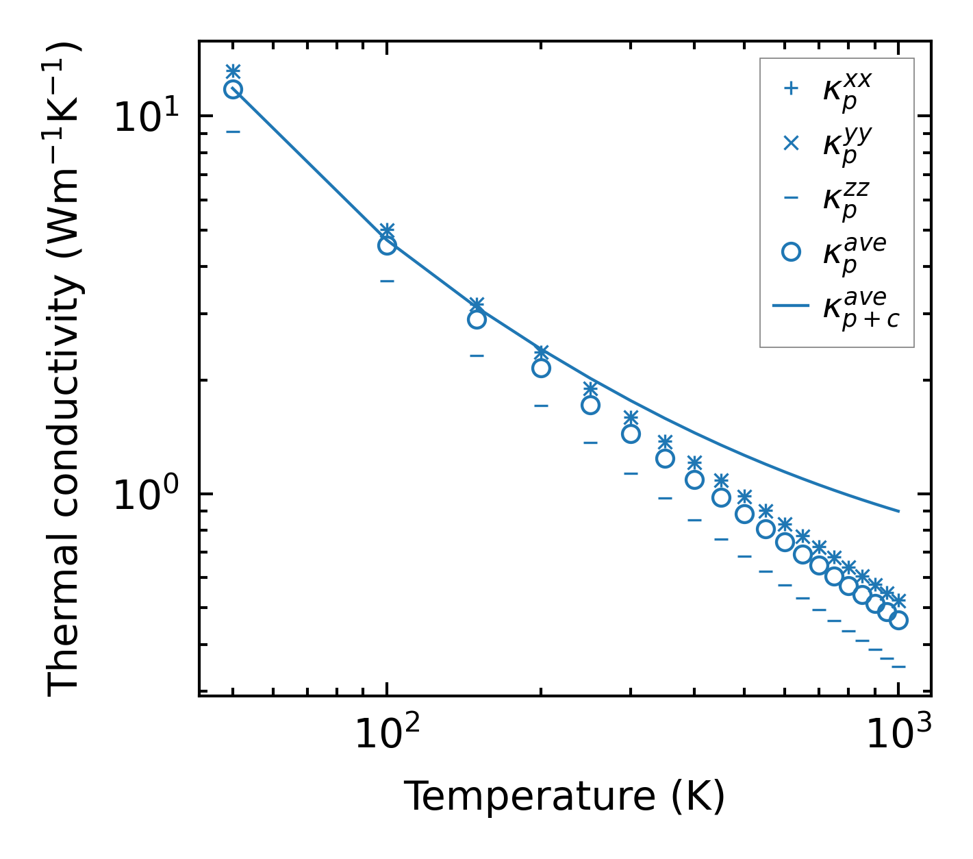
../../_images/fig_kappa12894.png

(a) Temperature-dependent lattice thermal conductivity

../../_images/fig_kappa_vs_grain_size6927.png

(b) Peierls lattice thermal conductivity w.r.t grain size

Phonon lifetime and scattering rates

../../_images/fig_lifetime6781.png

(a) Phonon lifetime due to phonon-phonon scattering

../../_images/fig_scat_rates6780.png

(b) Phonon scattering rates

Cumulative and spectral thermal conductivity

../../_images/fig_cumu_frequency6781.png

(a) Spectral and cumulative thermal conductivity w.r.t frequency

../../_images/fig_cumu_mfp6780.png

(b) Spectral and cumulative thermal conductivity w.r.t MFP

Force constants

../../_images/fig_fc215411.png

(a) Force constants w.r.t atomic distance

Summary

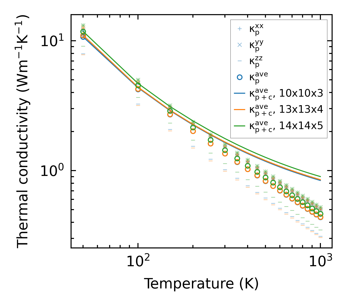
../../_images/fig_kappa12895.png

(a) Temperature-dependent lattice thermal conductivity

../../_images/fig_times26055.png

(b) Computation time