mp-1192490/K5Pr4Si4O16F/harm

Harmonic properties

../../_images/fig_bandos_pr15793.png

(a) Phonon dispersion with participation ratio and DOS

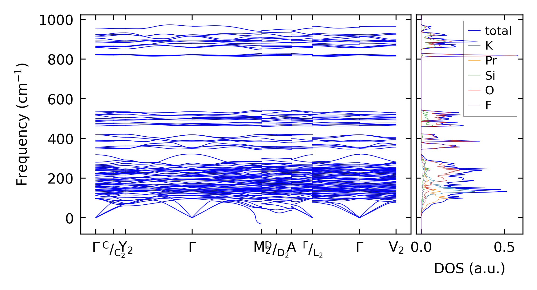
../../_images/fig_bandos20168.png

(b) Phonon dispersion and DOS

../../_images/fig_thermo15792.png

(c) Thermodynamic properties

Force constants

../../_images/fig_fc215388.png

(a) Force constants w.r.t atomic distance

Summary

../../_images/fig_times26010.png

(a) Computation time