mp-1192137/Er2TlCu3S5/anharm

Harmonic properties

../../_images/fig_bandos_pr15774.png

(a) Phonon dispersion with participation ratio and DOS

../../_images/fig_thermo15773.png

(b) Thermodynamic properties

Grüneisen parameters

../../_images/fig_gru_all6831.png

(a) Grüneisen parameters

../../_images/fig_gruneisen6831.png

(b) Phonon dispersion with Grüneisen parameters

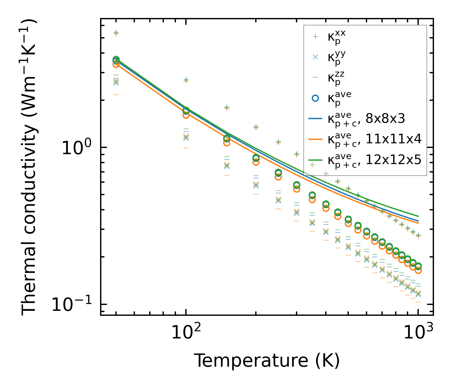
Thermal conductivity

3-phonon (LASSO) — q-mesh: 12x12x5, supercell: 3x1x1

../../_images/fig_kappa12863.png

(a) Temperature-dependent lattice thermal conductivity

../../_images/fig_kappa_vs_grain_size6911.png

(b) Peierls lattice thermal conductivity w.r.t grain size

Phonon lifetime and scattering rates

../../_images/fig_lifetime6765.png

(a) Phonon lifetime due to phonon-phonon scattering

../../_images/fig_scat_rates6764.png

(b) Phonon scattering rates

Cumulative and spectral thermal conductivity

../../_images/fig_cumu_frequency6765.png

(a) Spectral and cumulative thermal conductivity w.r.t frequency

../../_images/fig_cumu_mfp6764.png

(b) Spectral and cumulative thermal conductivity w.r.t MFP

Force constants

../../_images/fig_fc215369.png

(a) Force constants w.r.t atomic distance

Summary

../../_images/fig_kappa12864.png

(a) Temperature-dependent lattice thermal conductivity

../../_images/fig_times25975.png

(b) Computation time