mp-1192803/Lu2PbS4/anharm

Harmonic properties

../../_images/fig_bandos_pr15813.png

(a) Phonon dispersion with participation ratio and DOS

../../_images/fig_thermo15812.png

(b) Thermodynamic properties

Grüneisen parameters

../../_images/fig_gru_all6845.png

(a) Grüneisen parameters

../../_images/fig_gruneisen6845.png

(b) Phonon dispersion with Grüneisen parameters

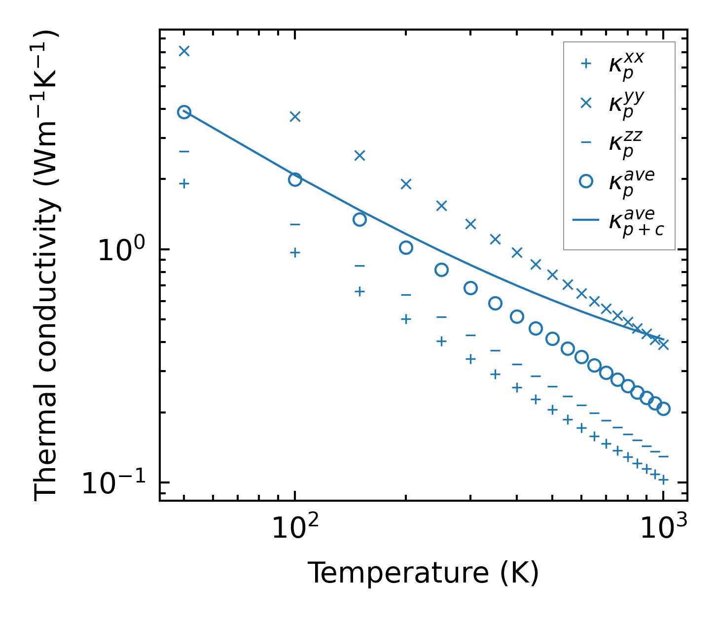
Thermal conductivity

3-phonon (LASSO) — q-mesh: 6x18x5, supercell: 1x4x1

../../_images/fig_kappa12890.png

(a) Temperature-dependent lattice thermal conductivity

../../_images/fig_kappa_vs_grain_size6925.png

(b) Peierls lattice thermal conductivity w.r.t grain size

Phonon lifetime and scattering rates

../../_images/fig_lifetime6779.png

(a) Phonon lifetime due to phonon-phonon scattering

../../_images/fig_scat_rates6778.png

(b) Phonon scattering rates

Cumulative and spectral thermal conductivity

../../_images/fig_cumu_frequency6779.png

(a) Spectral and cumulative thermal conductivity w.r.t frequency

../../_images/fig_cumu_mfp6778.png

(b) Spectral and cumulative thermal conductivity w.r.t MFP

Force constants

../../_images/fig_fc215408.png

(a) Force constants w.r.t atomic distance

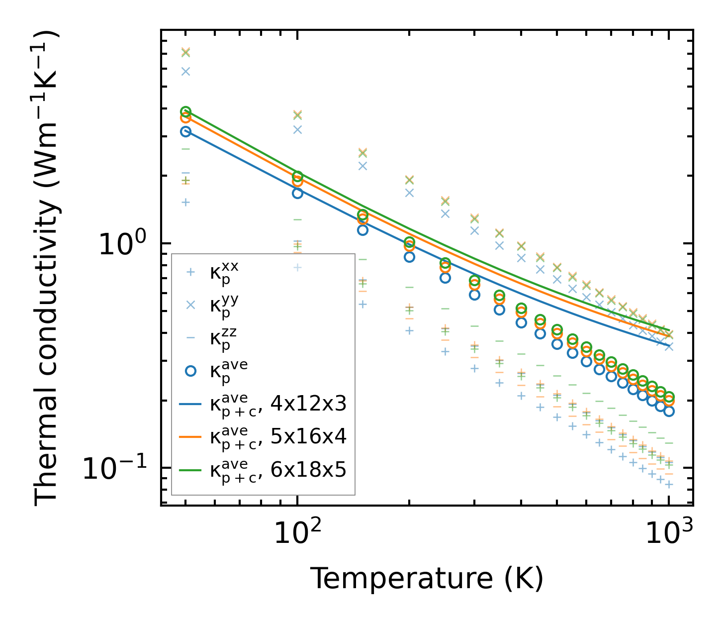
Summary

../../_images/fig_kappa12891.png

(a) Temperature-dependent lattice thermal conductivity

../../_images/fig_times26052.png

(b) Computation time