mp-1192732/Cs3HSe2O8/harm

Harmonic properties

../../_images/fig_bandos_pr15809.png

(a) Phonon dispersion with participation ratio and DOS

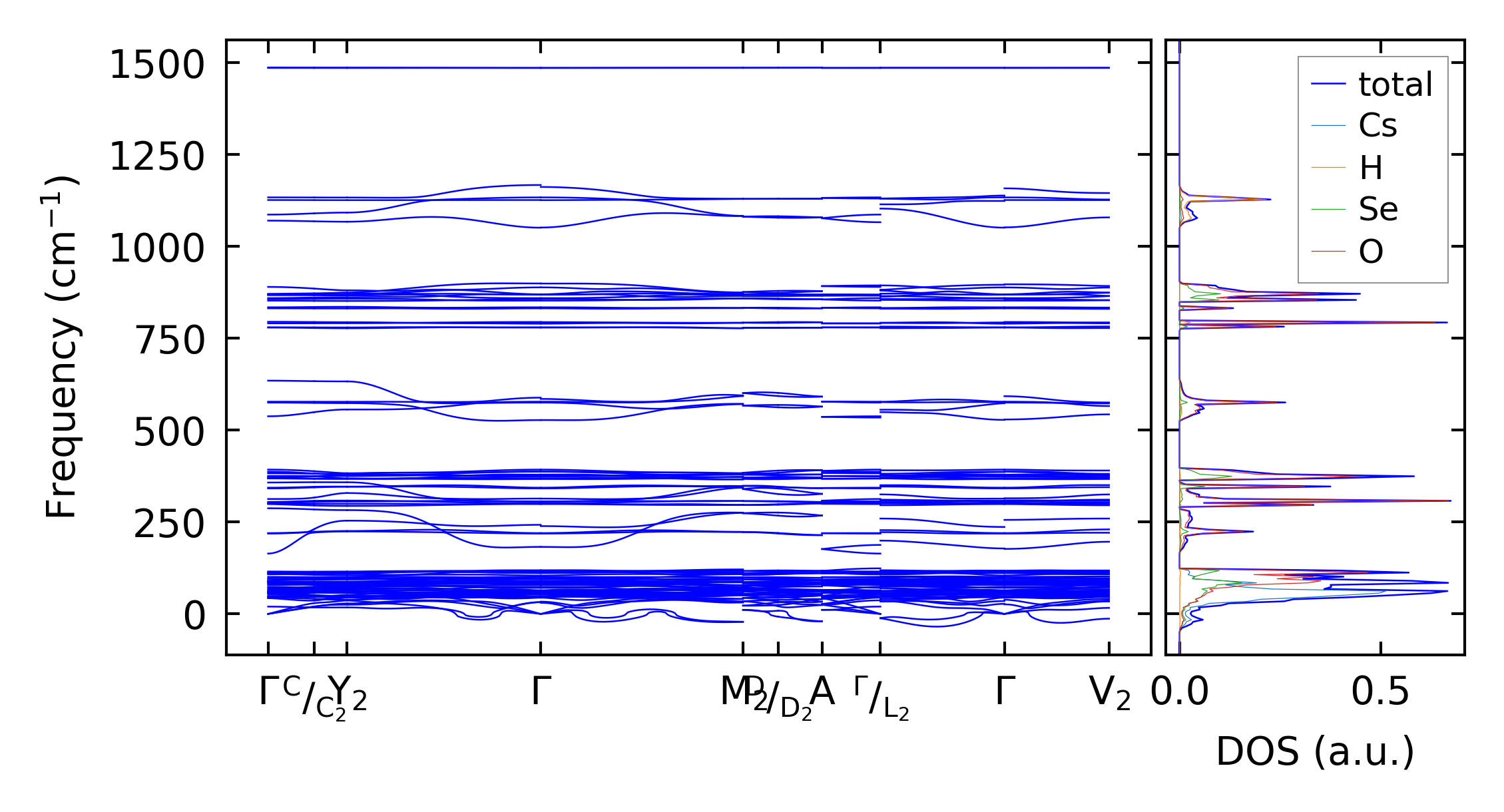
../../_images/fig_bandos20199.png

(b) Phonon dispersion and DOS

../../_images/fig_thermo15808.png

(c) Thermodynamic properties

Force constants

../../_images/fig_fc215404.png

(a) Force constants w.r.t atomic distance

Summary

../../_images/fig_times26045.png

(a) Computation time