mp-1192338/Na5Sm4Si4O16F/harm

Harmonic properties

../../_images/fig_bandos_pr15783.png

(a) Phonon dispersion with participation ratio and DOS

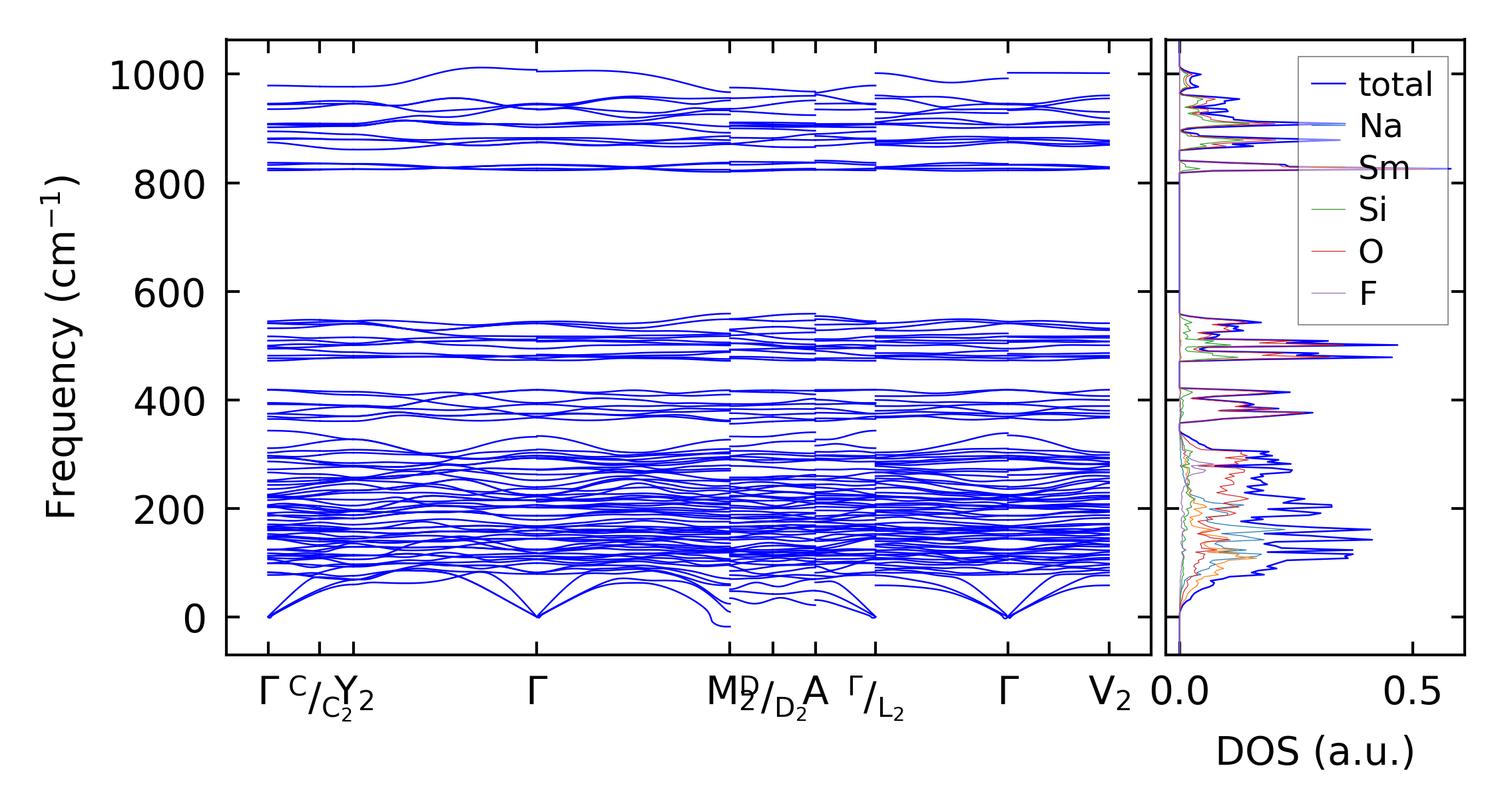
../../_images/fig_bandos20148.png

(b) Phonon dispersion and DOS

../../_images/fig_thermo15782.png

(c) Thermodynamic properties

Force constants

../../_images/fig_fc215378.png

(a) Force constants w.r.t atomic distance

Summary

../../_images/fig_times25988.png

(a) Computation time