mp-1192811/Er2ZnS4/anharm

Harmonic properties

../../_images/fig_bandos_pr15814.png

(a) Phonon dispersion with participation ratio and DOS

../../_images/fig_thermo15813.png

(b) Thermodynamic properties

Grüneisen parameters

../../_images/fig_gru_all6846.png

(a) Grüneisen parameters

../../_images/fig_gruneisen6846.png

(b) Phonon dispersion with Grüneisen parameters

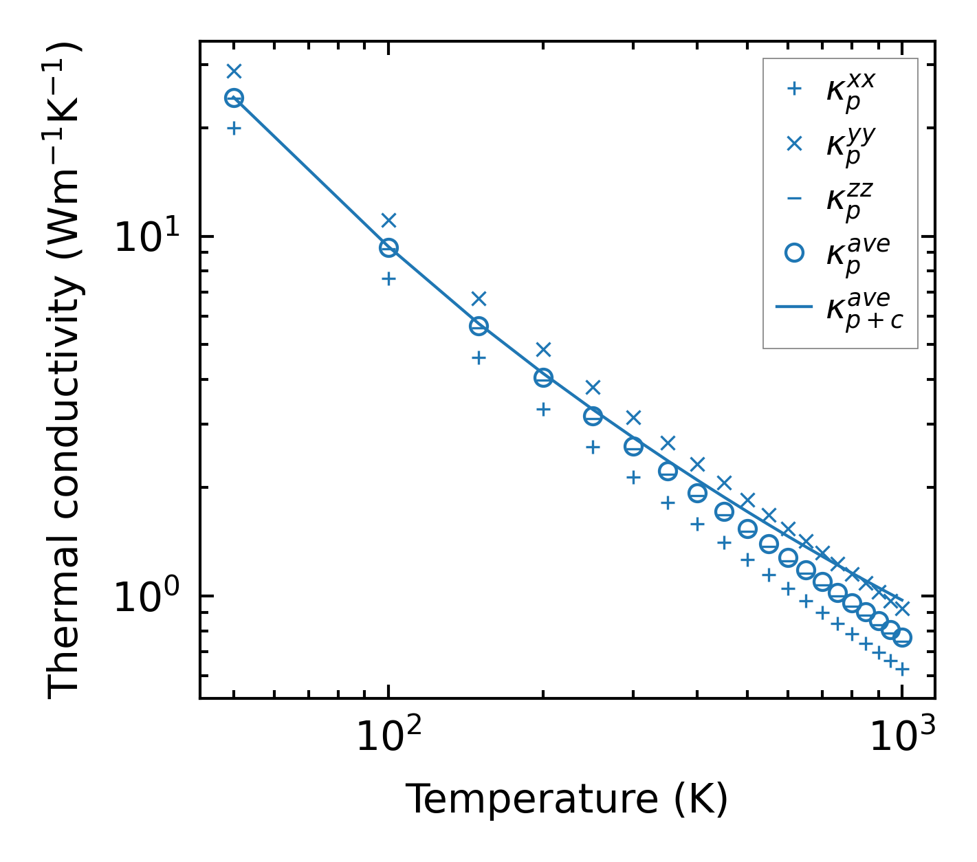
Thermal conductivity

3-phonon (LASSO) — q-mesh: 5x9x11, supercell: 1x2x2

../../_images/fig_kappa12892.png

(a) Temperature-dependent lattice thermal conductivity

../../_images/fig_kappa_vs_grain_size6926.png

(b) Peierls lattice thermal conductivity w.r.t grain size

Phonon lifetime and scattering rates

../../_images/fig_lifetime6780.png

(a) Phonon lifetime due to phonon-phonon scattering

../../_images/fig_scat_rates6779.png

(b) Phonon scattering rates

Cumulative and spectral thermal conductivity

../../_images/fig_cumu_frequency6780.png

(a) Spectral and cumulative thermal conductivity w.r.t frequency

../../_images/fig_cumu_mfp6779.png

(b) Spectral and cumulative thermal conductivity w.r.t MFP

Force constants

../../_images/fig_fc215409.png

(a) Force constants w.r.t atomic distance

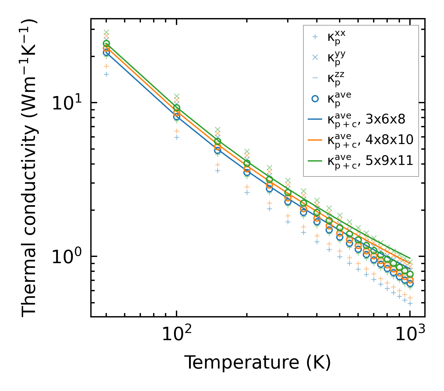
Summary

../../_images/fig_kappa12893.png

(a) Temperature-dependent lattice thermal conductivity

../../_images/fig_times26053.png

(b) Computation time