mp-1192184/Dy3GaFeS7/harm

Harmonic properties

../../_images/fig_bandos_pr15776.png

(a) Phonon dispersion with participation ratio and DOS

../../_images/fig_bandos20141.png

(b) Phonon dispersion and DOS

../../_images/fig_thermo15775.png

(c) Thermodynamic properties

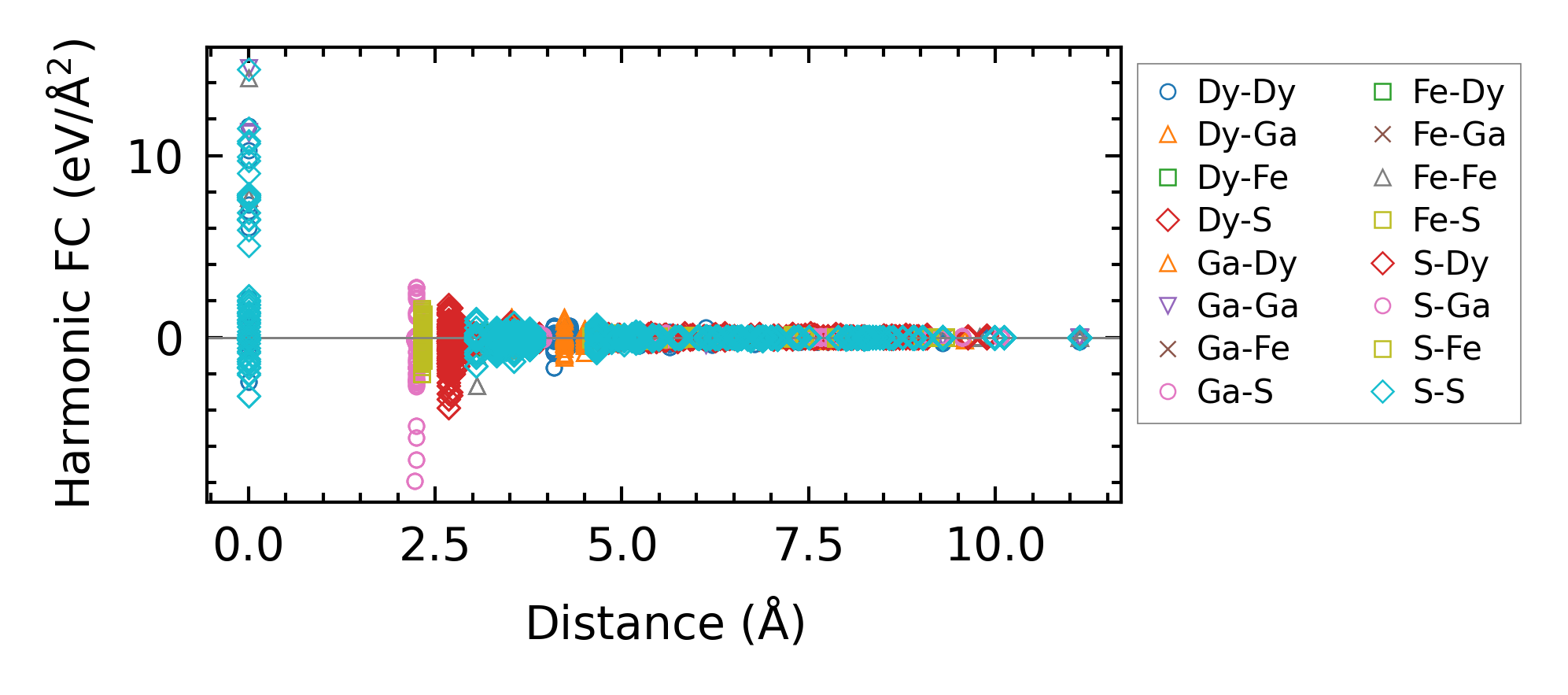
Force constants

../../_images/fig_fc215371.png

(a) Force constants w.r.t atomic distance

Summary

../../_images/fig_times25978.png

(a) Computation time