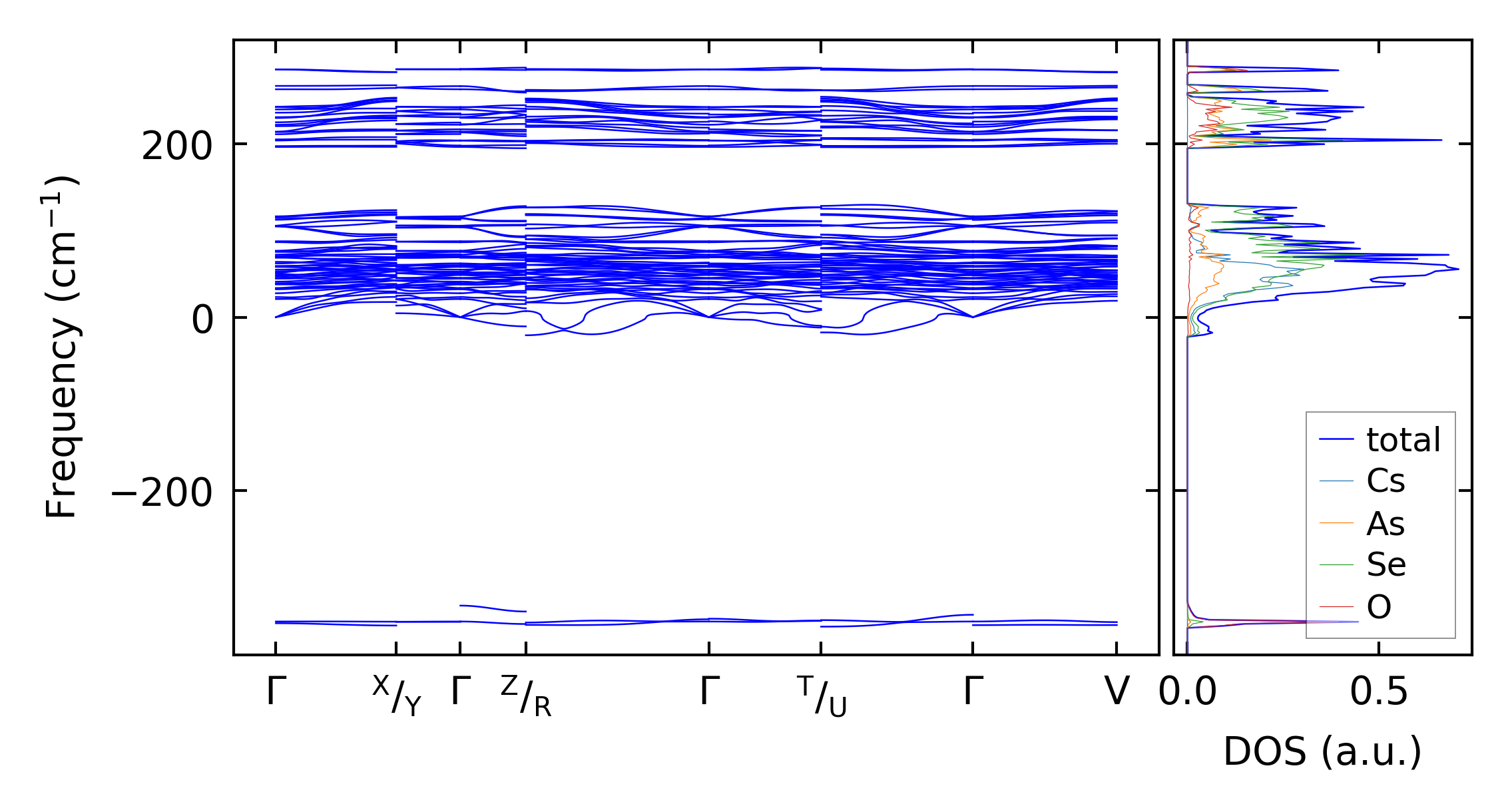
mp-1192609/Cs2As2Se6O/harm
- Space group: C2/c (15)
- Link: Materials Project
- Download: mp-1192609.tar.gz
Harmonic properties
(a) Phonon dispersion and DOS
Summary
(a) Computation time
(a) Phonon dispersion and DOS
(a) Computation time