mp-1192743/SrGePbO4/harm

Harmonic properties

../../_images/fig_bandos_pr15810.png

(a) Phonon dispersion with participation ratio and DOS

../../_images/fig_bandos20201.png

(b) Phonon dispersion and DOS

../../_images/fig_thermo15809.png

(c) Thermodynamic properties

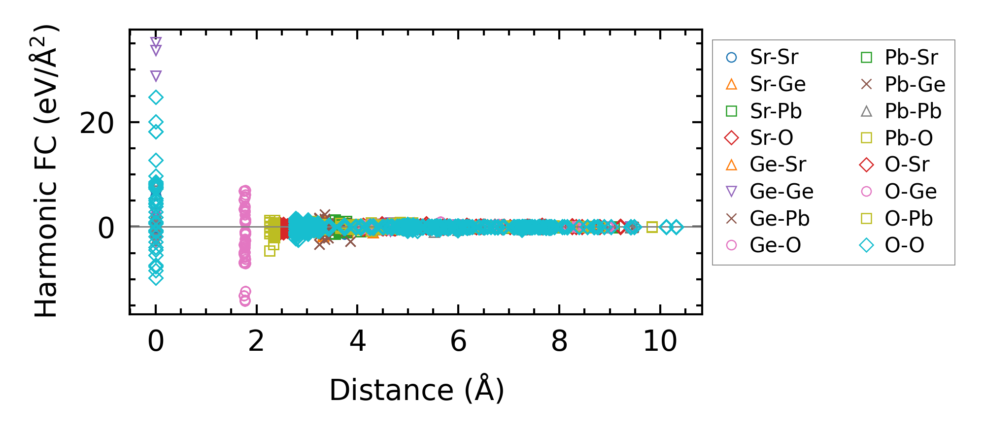
Force constants

../../_images/fig_fc215405.png

(a) Force constants w.r.t atomic distance

Summary

../../_images/fig_times26047.png

(a) Computation time