mp-1192524/Na2ThAs2O8/harm
- Space group: Fddd (70)
- Link: Materials Project
- Download: mp-1192524.tar.gz
Harmonic properties
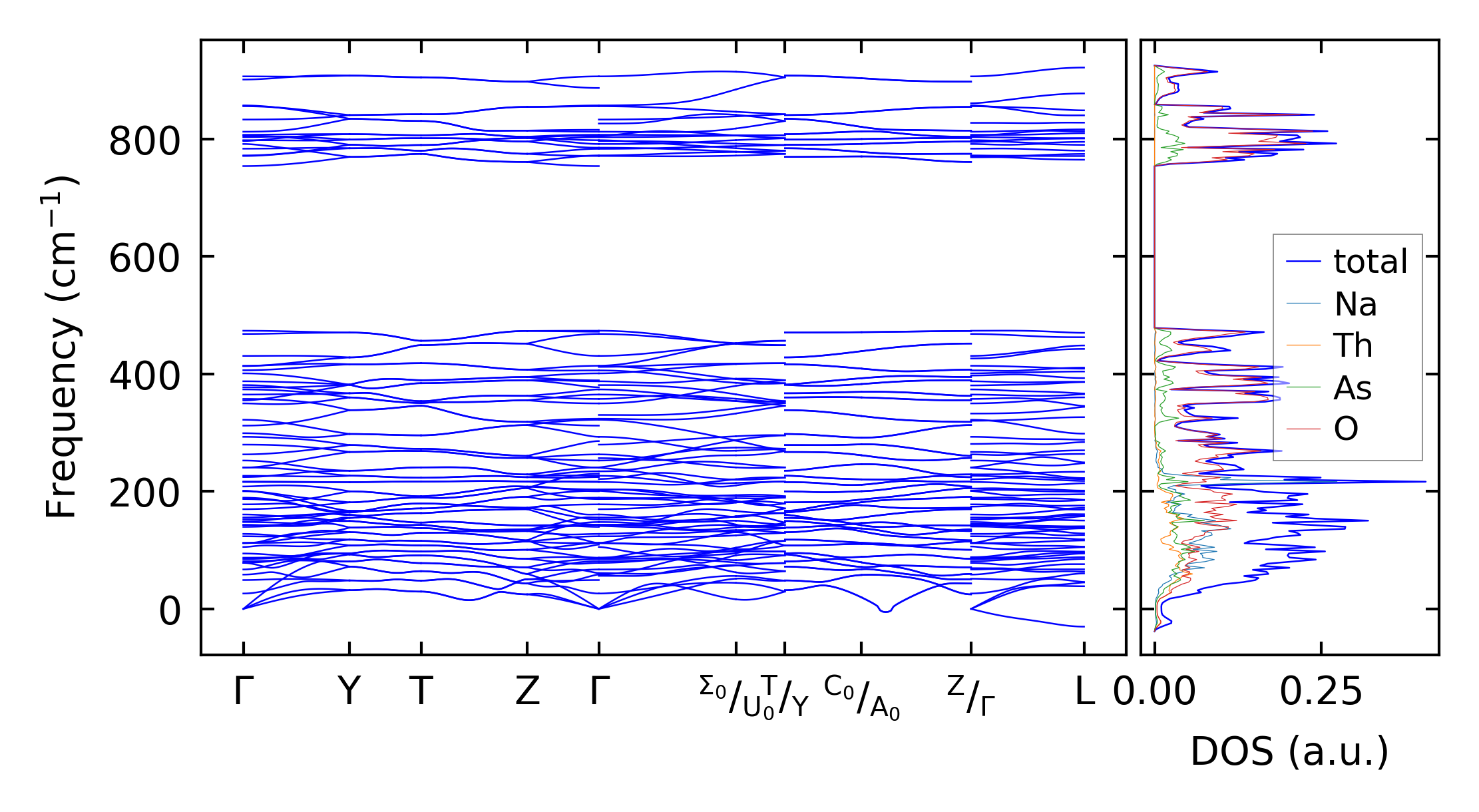
(a) Phonon dispersion and DOS
Summary
(a) Computation time
(a) Phonon dispersion and DOS
(a) Computation time