mp-1192151/Rb2Zn5As4/anharm

Harmonic properties

../../_images/fig_bandos_pr15775.png

(a) Phonon dispersion with participation ratio and DOS

../../_images/fig_thermo15774.png

(b) Thermodynamic properties

Grüneisen parameters

../../_images/fig_gru_all6832.png

(a) Grüneisen parameters

../../_images/fig_gruneisen6832.png

(b) Phonon dispersion with Grüneisen parameters

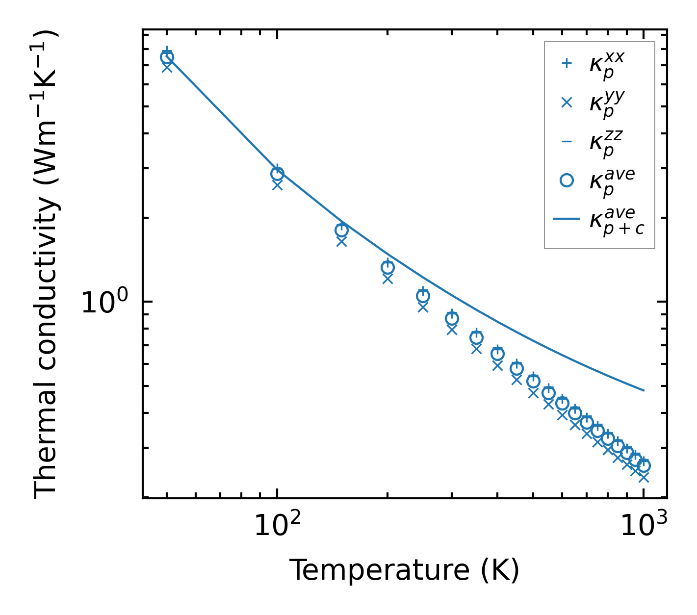
Thermal conductivity

3-phonon (LASSO) — q-mesh: 11x11x6, supercell: 1x2x1

../../_images/fig_kappa12865.png

(a) Temperature-dependent lattice thermal conductivity

../../_images/fig_kappa_vs_grain_size6912.png

(b) Peierls lattice thermal conductivity w.r.t grain size

Phonon lifetime and scattering rates

../../_images/fig_lifetime6766.png

(a) Phonon lifetime due to phonon-phonon scattering

../../_images/fig_scat_rates6765.png

(b) Phonon scattering rates

Cumulative and spectral thermal conductivity

../../_images/fig_cumu_frequency6766.png

(a) Spectral and cumulative thermal conductivity w.r.t frequency

../../_images/fig_cumu_mfp6765.png

(b) Spectral and cumulative thermal conductivity w.r.t MFP

Force constants

../../_images/fig_fc215370.png

(a) Force constants w.r.t atomic distance

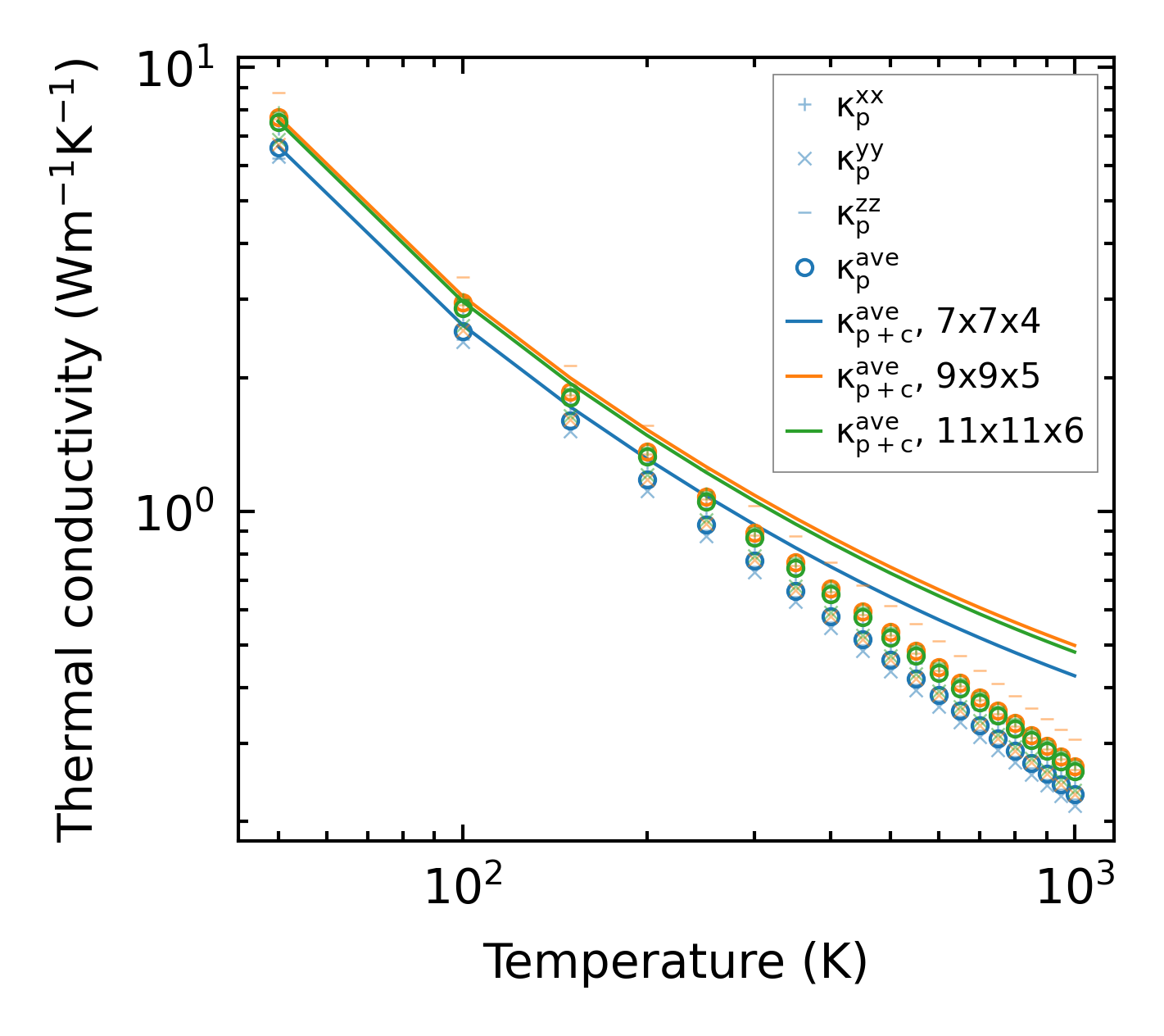
Summary

../../_images/fig_kappa12866.png

(a) Temperature-dependent lattice thermal conductivity

../../_images/fig_times25977.png

(b) Computation time