mp-1192531/KCu2SbS3/anharm

Harmonic properties

../../_images/fig_bandos_pr15796.png

(a) Phonon dispersion with participation ratio and DOS

../../_images/fig_thermo15795.png

(b) Thermodynamic properties

Grüneisen parameters

../../_images/fig_gru_all6838.png

(a) Grüneisen parameters

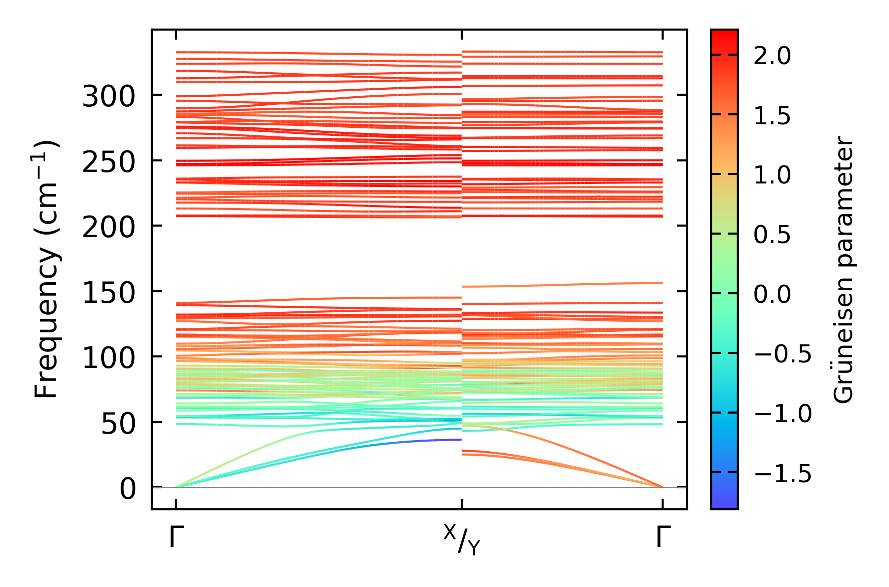
../../_images/fig_gruneisen6838.png

(b) Phonon dispersion with Grüneisen parameters

Thermal conductivity

3-phonon (LASSO) — q-mesh: 11x7x6, supercell: 2x2x1

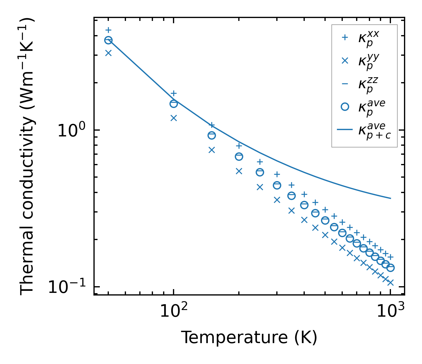
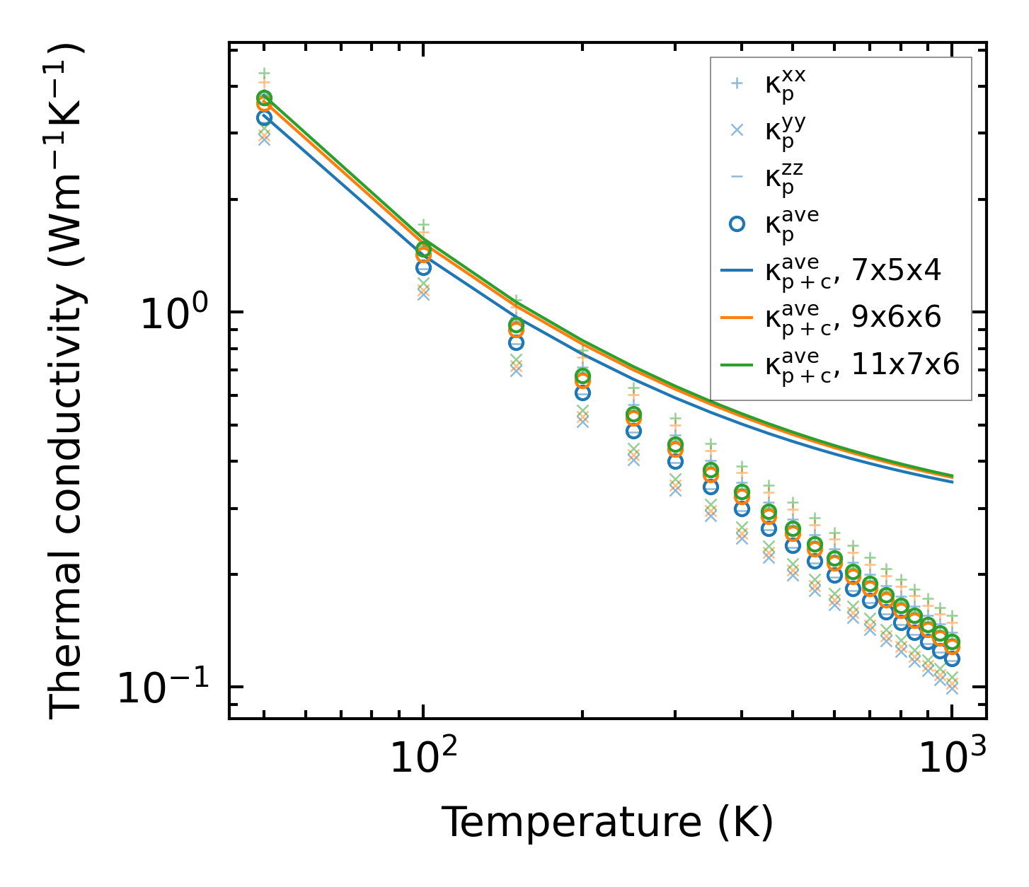
../../_images/fig_kappa12877.png

(a) Temperature-dependent lattice thermal conductivity

../../_images/fig_kappa_vs_grain_size6918.png

(b) Peierls lattice thermal conductivity w.r.t grain size

Phonon lifetime and scattering rates

../../_images/fig_lifetime6772.png

(a) Phonon lifetime due to phonon-phonon scattering

../../_images/fig_scat_rates6771.png

(b) Phonon scattering rates

Cumulative and spectral thermal conductivity

../../_images/fig_cumu_frequency6772.png

(a) Spectral and cumulative thermal conductivity w.r.t frequency

../../_images/fig_cumu_mfp6771.png

(b) Spectral and cumulative thermal conductivity w.r.t MFP

Force constants

../../_images/fig_fc215391.png

(a) Force constants w.r.t atomic distance

Summary

../../_images/fig_kappa12878.png

(a) Temperature-dependent lattice thermal conductivity

../../_images/fig_times26016.png

(b) Computation time