mp-1192203/NaCdAsS3/anharm

Harmonic properties

../../_images/fig_bandos_pr15778.png

(a) Phonon dispersion with participation ratio and DOS

../../_images/fig_thermo15777.png

(b) Thermodynamic properties

Grüneisen parameters

../../_images/fig_gru_all6833.png

(a) Grüneisen parameters

../../_images/fig_gruneisen6833.png

(b) Phonon dispersion with Grüneisen parameters

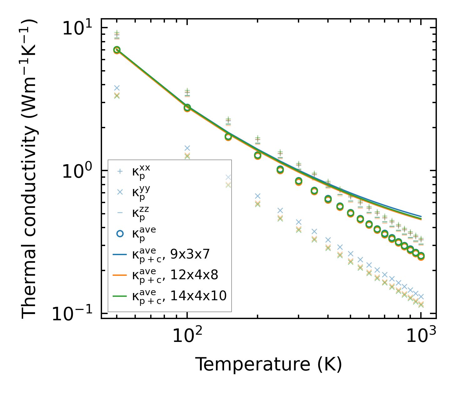
Thermal conductivity

3-phonon (LASSO) — q-mesh: 14x4x10, supercell: 3x1x2

../../_images/fig_kappa12867.png

(a) Temperature-dependent lattice thermal conductivity

../../_images/fig_kappa_vs_grain_size6913.png

(b) Peierls lattice thermal conductivity w.r.t grain size

Phonon lifetime and scattering rates

../../_images/fig_lifetime6767.png

(a) Phonon lifetime due to phonon-phonon scattering

../../_images/fig_scat_rates6766.png

(b) Phonon scattering rates

Cumulative and spectral thermal conductivity

../../_images/fig_cumu_frequency6767.png

(a) Spectral and cumulative thermal conductivity w.r.t frequency

../../_images/fig_cumu_mfp6766.png

(b) Spectral and cumulative thermal conductivity w.r.t MFP

Force constants

../../_images/fig_fc215373.png

(a) Force constants w.r.t atomic distance

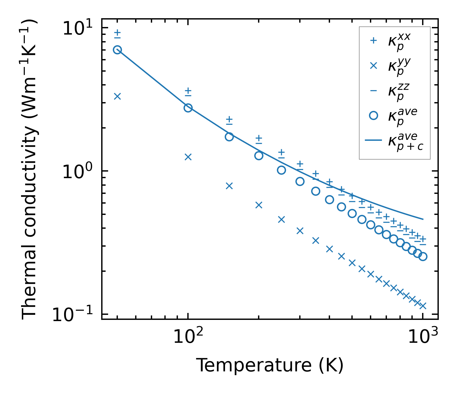
Summary

../../_images/fig_kappa12868.png

(a) Temperature-dependent lattice thermal conductivity

../../_images/fig_times25981.png

(b) Computation time