mp-1188981/Tm3Sb4Au3/anharm

Harmonic properties

../../_images/fig_bandos_pr15892.png

(a) Phonon dispersion with participation ratio and DOS

../../_images/fig_thermo15891.png

(b) Thermodynamic properties

Grüneisen parameters

../../_images/fig_gru_all6883.png

(a) Grüneisen parameters

../../_images/fig_gruneisen6883.png

(b) Phonon dispersion with Grüneisen parameters

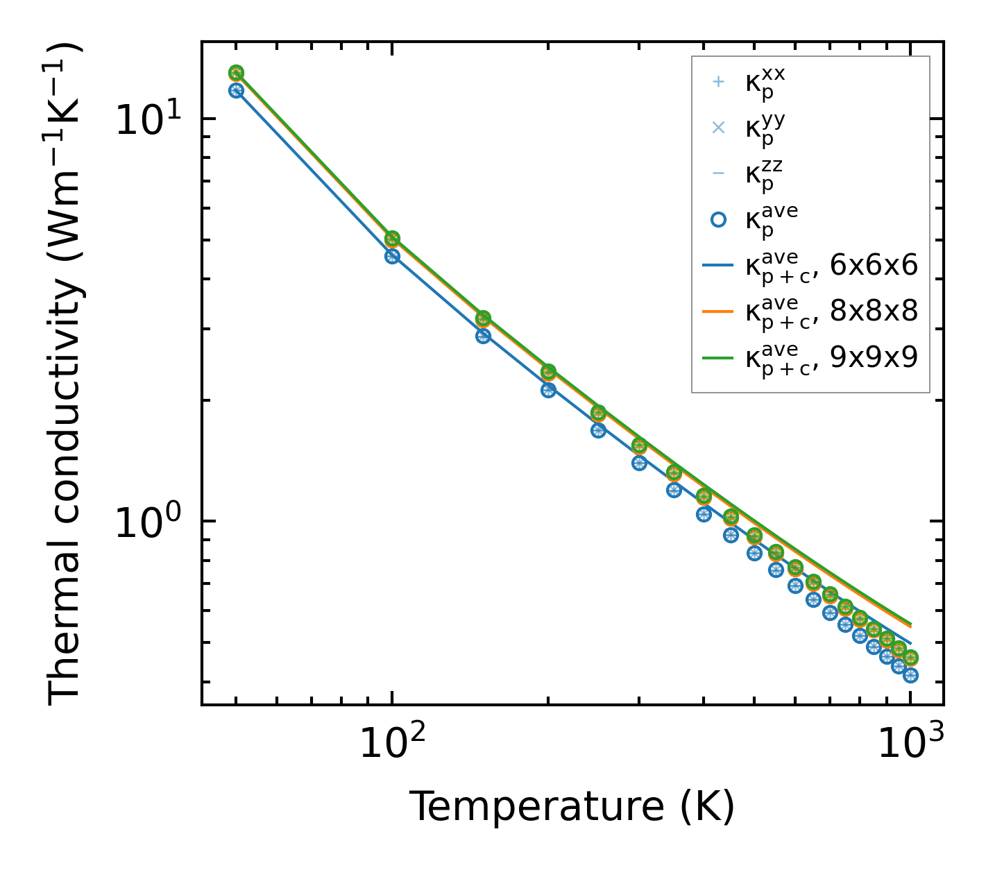
Thermal conductivity

3-phonon (LASSO) — q-mesh: 9x9x9, supercell: 1x1x1

../../_images/fig_kappa12961.png

(a) Temperature-dependent lattice thermal conductivity

../../_images/fig_kappa_vs_grain_size6963.png

(b) Peierls lattice thermal conductivity w.r.t grain size

Phonon lifetime and scattering rates

../../_images/fig_lifetime6817.png

(a) Phonon lifetime due to phonon-phonon scattering

../../_images/fig_scat_rates6816.png

(b) Phonon scattering rates

Cumulative and spectral thermal conductivity

../../_images/fig_cumu_frequency6817.png

(a) Spectral and cumulative thermal conductivity w.r.t frequency

../../_images/fig_cumu_mfp6816.png

(b) Spectral and cumulative thermal conductivity w.r.t MFP

Force constants

../../_images/fig_fc215487.png

(a) Force constants w.r.t atomic distance

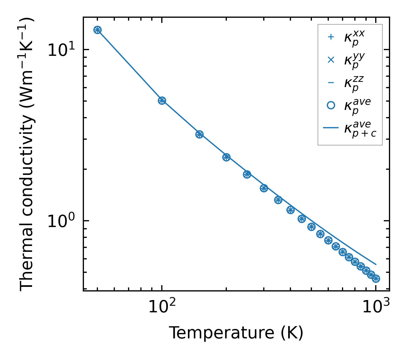
Summary

../../_images/fig_kappa12962.png

(a) Temperature-dependent lattice thermal conductivity

../../_images/fig_times26187.png

(b) Computation time