mp-1188840/SmScS3/anharm

Harmonic properties

../../_images/fig_bandos_pr15886.png

(a) Phonon dispersion with participation ratio and DOS

../../_images/fig_thermo15885.png

(b) Thermodynamic properties

Grüneisen parameters

../../_images/fig_gru_all6879.png

(a) Grüneisen parameters

../../_images/fig_gruneisen6879.png

(b) Phonon dispersion with Grüneisen parameters

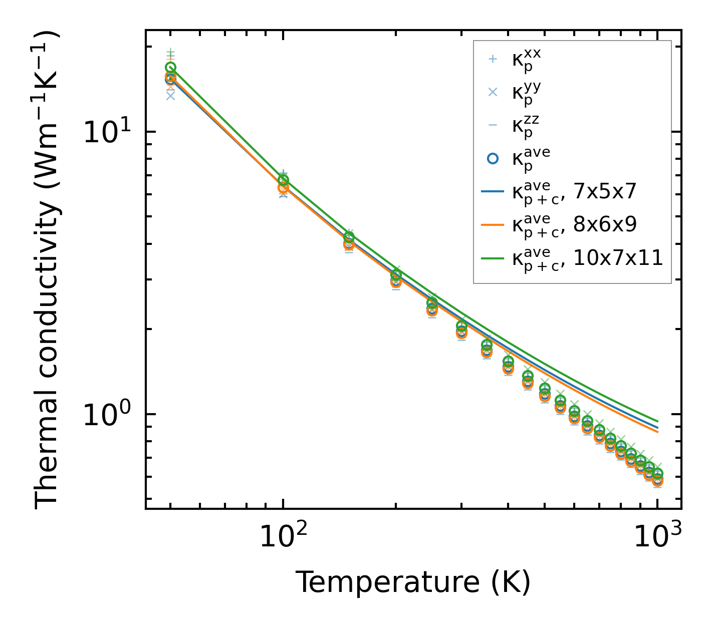
Thermal conductivity

3-phonon (LASSO) — q-mesh: 10x7x11, supercell: 2x1x2

../../_images/fig_kappa12954.png

(a) Temperature-dependent lattice thermal conductivity

../../_images/fig_kappa_vs_grain_size6959.png

(b) Peierls lattice thermal conductivity w.r.t grain size

Phonon lifetime and scattering rates

../../_images/fig_lifetime6813.png

(a) Phonon lifetime due to phonon-phonon scattering

../../_images/fig_scat_rates6812.png

(b) Phonon scattering rates

Cumulative and spectral thermal conductivity

../../_images/fig_cumu_frequency6813.png

(a) Spectral and cumulative thermal conductivity w.r.t frequency

../../_images/fig_cumu_mfp6812.png

(b) Spectral and cumulative thermal conductivity w.r.t MFP

Force constants

../../_images/fig_fc215481.png

(a) Force constants w.r.t atomic distance

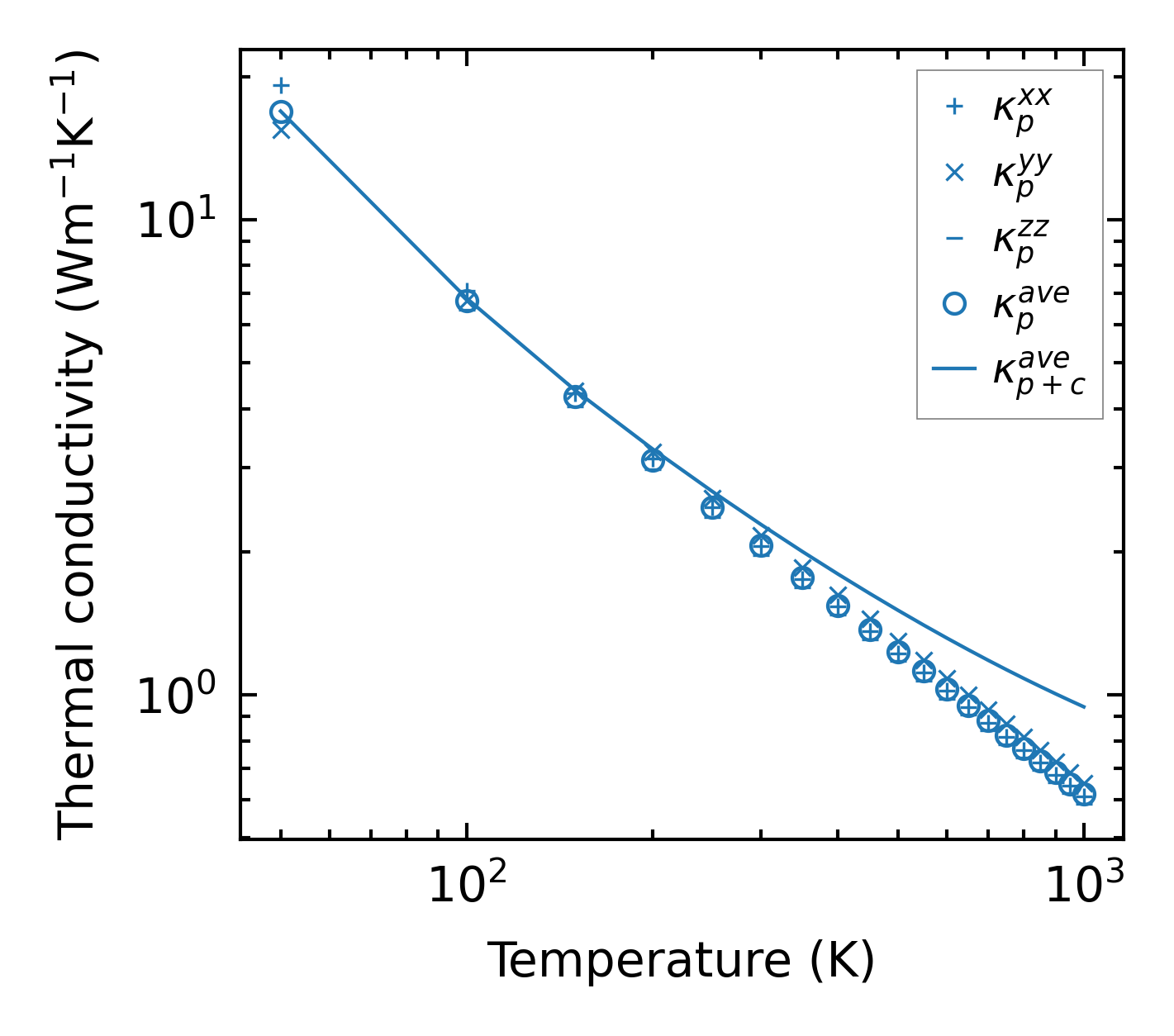
Summary

../../_images/fig_kappa12955.png

(a) Temperature-dependent lattice thermal conductivity

../../_images/fig_times26177.png

(b) Computation time