mp-1188730-2/PrHo3S6/anharm

Equation of state

../../_images/fig_bm7689.png

(a) Equation of state

Harmonic properties

../../_images/fig_bandos_pr15885.png

(a) Phonon dispersion with participation ratio and DOS

../../_images/fig_bandos20296.png

(b) Phonon dispersion and DOS

../../_images/fig_thermo15884.png

(c) Thermodynamic properties

Grüneisen parameters

../../_images/fig_gru_all6878.png

(a) Grüneisen parameters

../../_images/fig_gruneisen6878.png

(b) Phonon dispersion with Grüneisen parameters

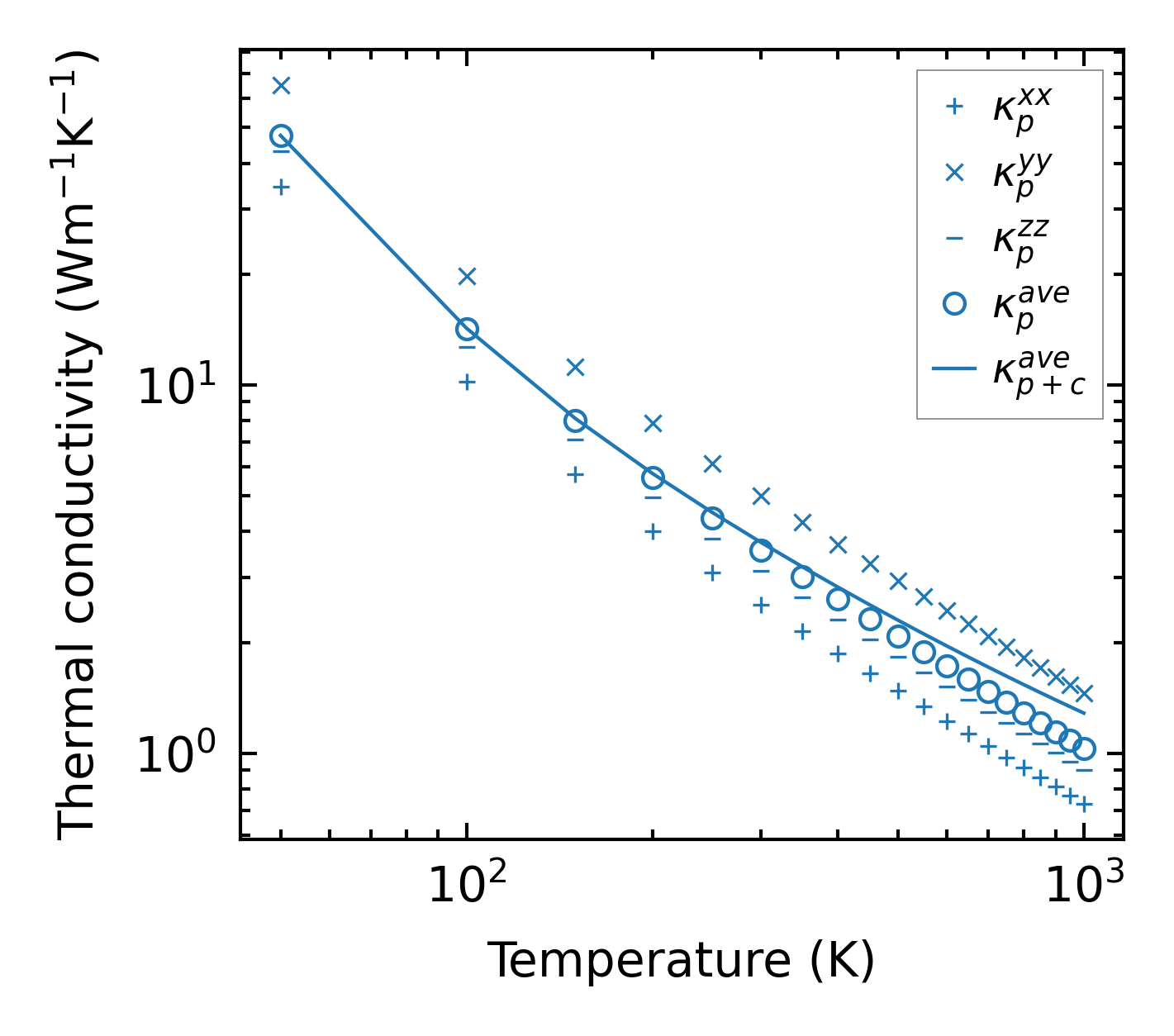
Thermal conductivity

3-phonon (LASSO), supercell 2x3x2 — q-mesh: 6x18x6, supercell: 2x3x2

../../_images/fig_kappa12953.png

(a) Temperature-dependent lattice thermal conductivity

../../_images/fig_kappa_vs_grain_size6958.png

(b) Peierls lattice thermal conductivity w.r.t grain size

Phonon lifetime and scattering rates

../../_images/fig_lifetime6812.png

(a) Phonon lifetime due to phonon-phonon scattering

../../_images/fig_scat_rates6811.png

(b) Phonon scattering rates

Cumulative and spectral thermal conductivity

../../_images/fig_cumu_frequency6812.png

(a) Spectral and cumulative thermal conductivity w.r.t frequency

../../_images/fig_cumu_mfp6811.png

(b) Spectral and cumulative thermal conductivity w.r.t MFP

Force constants

../../_images/fig_fc215480.png

(a) Force constants w.r.t atomic distance

Summary

../../_images/fig_times26174.png

(a) Computation time