mp-1188666/Sm3Cu3Sb4/anharm

Harmonic properties

../../_images/fig_bandos_pr16204.png

(a) Phonon dispersion with participation ratio and DOS

../../_images/fig_thermo16203.png

(b) Thermodynamic properties

Grüneisen parameters

../../_images/fig_gru_all7042.png

(a) Grüneisen parameters

../../_images/fig_gruneisen7042.png

(b) Phonon dispersion with Grüneisen parameters

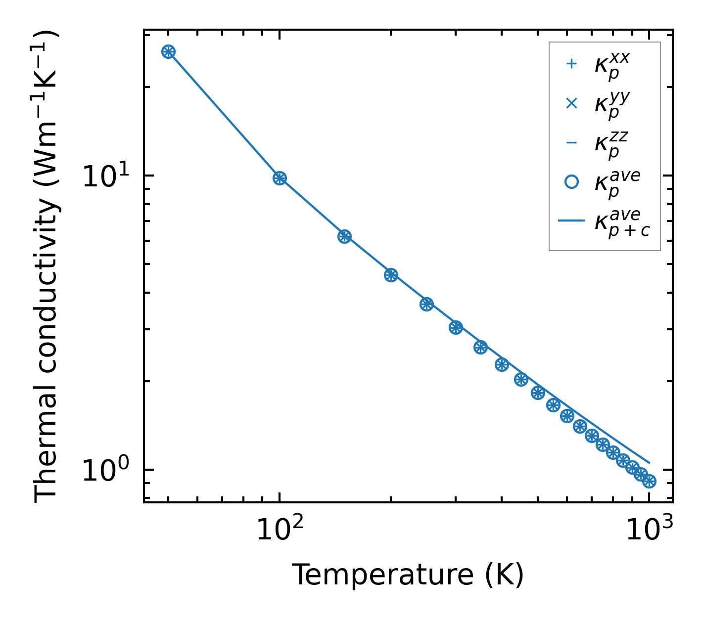
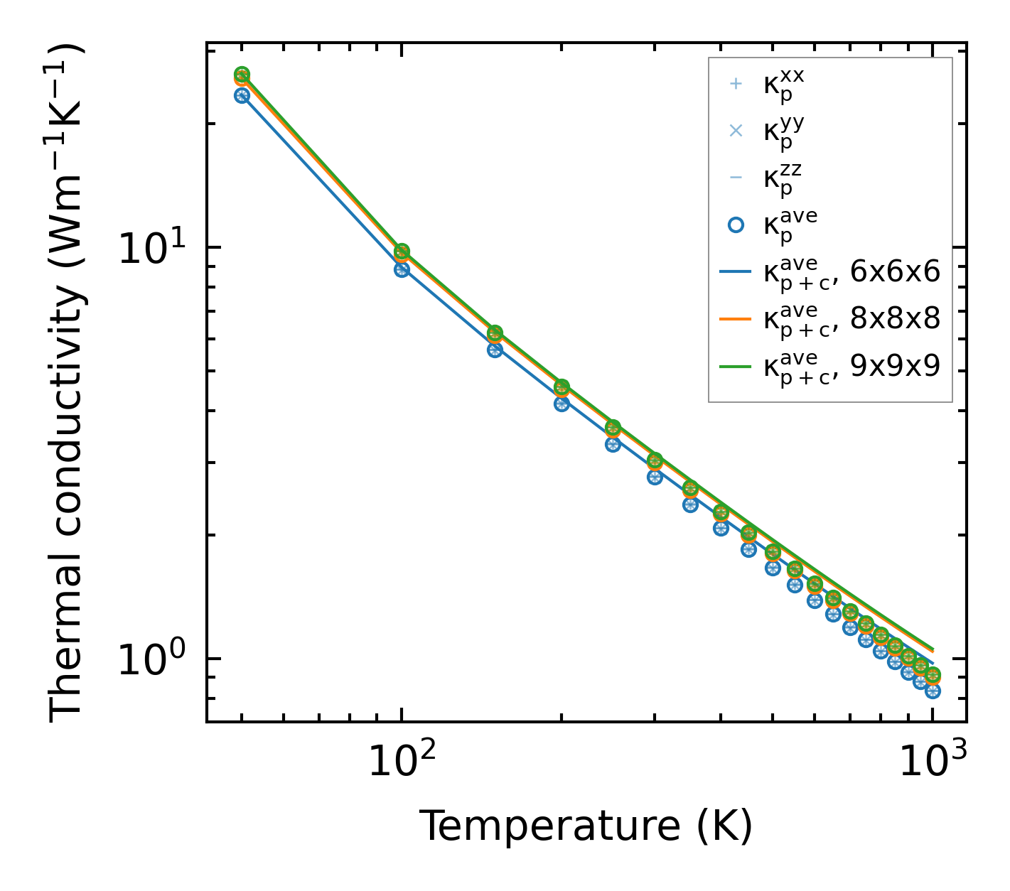
Thermal conductivity

3-phonon (LASSO) — q-mesh: 9x9x9, supercell: 1x1x1

../../_images/fig_kappa13264.png

(a) Temperature-dependent lattice thermal conductivity

../../_images/fig_kappa_vs_grain_size7124.png

(b) Peierls lattice thermal conductivity w.r.t grain size

Phonon lifetime and scattering rates

../../_images/fig_lifetime6976.png

(a) Phonon lifetime due to phonon-phonon scattering

../../_images/fig_scat_rates6975.png

(b) Phonon scattering rates

Cumulative and spectral thermal conductivity

../../_images/fig_cumu_frequency6976.png

(a) Spectral and cumulative thermal conductivity w.r.t frequency

../../_images/fig_cumu_mfp6975.png

(b) Spectral and cumulative thermal conductivity w.r.t MFP

Force constants

../../_images/fig_fc215797.png

(a) Force constants w.r.t atomic distance

Summary

../../_images/fig_kappa13265.png

(a) Temperature-dependent lattice thermal conductivity

../../_images/fig_times26680.png

(b) Computation time