mp-1188655/Ir2S3/anharm

Harmonic properties

../../_images/fig_bandos_pr16202.png

(a) Phonon dispersion with participation ratio and DOS

../../_images/fig_thermo16201.png

(b) Thermodynamic properties

Grüneisen parameters

../../_images/fig_gru_all7041.png

(a) Grüneisen parameters

../../_images/fig_gruneisen7041.png

(b) Phonon dispersion with Grüneisen parameters

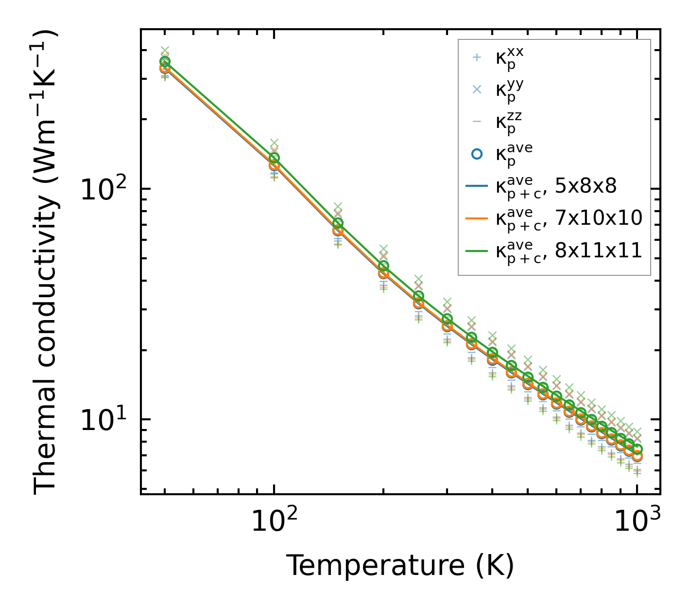
Thermal conductivity

3-phonon (LASSO) — q-mesh: 8x11x11, supercell: 1x2x2

../../_images/fig_kappa13262.png

(a) Temperature-dependent lattice thermal conductivity

../../_images/fig_kappa_vs_grain_size7123.png

(b) Peierls lattice thermal conductivity w.r.t grain size

Phonon lifetime and scattering rates

../../_images/fig_lifetime6975.png

(a) Phonon lifetime due to phonon-phonon scattering

../../_images/fig_scat_rates6974.png

(b) Phonon scattering rates

Cumulative and spectral thermal conductivity

../../_images/fig_cumu_frequency6975.png

(a) Spectral and cumulative thermal conductivity w.r.t frequency

../../_images/fig_cumu_mfp6974.png

(b) Spectral and cumulative thermal conductivity w.r.t MFP

Force constants

../../_images/fig_fc215795.png

(a) Force constants w.r.t atomic distance

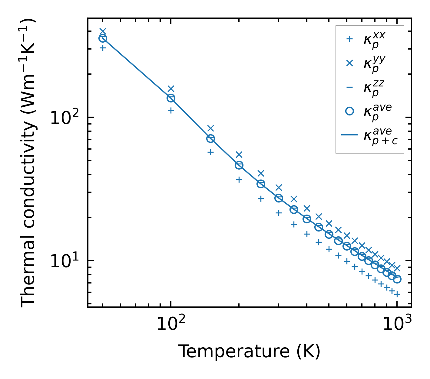
Summary

../../_images/fig_kappa13263.png

(a) Temperature-dependent lattice thermal conductivity

../../_images/fig_times26678.png

(b) Computation time