mp-1188262/TbScS3/anharm

Harmonic properties

../../_images/fig_bandos_pr16182.png

(a) Phonon dispersion with participation ratio and DOS

../../_images/fig_thermo16181.png

(b) Thermodynamic properties

Grüneisen parameters

../../_images/fig_gru_all7027.png

(a) Grüneisen parameters

../../_images/fig_gruneisen7027.png

(b) Phonon dispersion with Grüneisen parameters

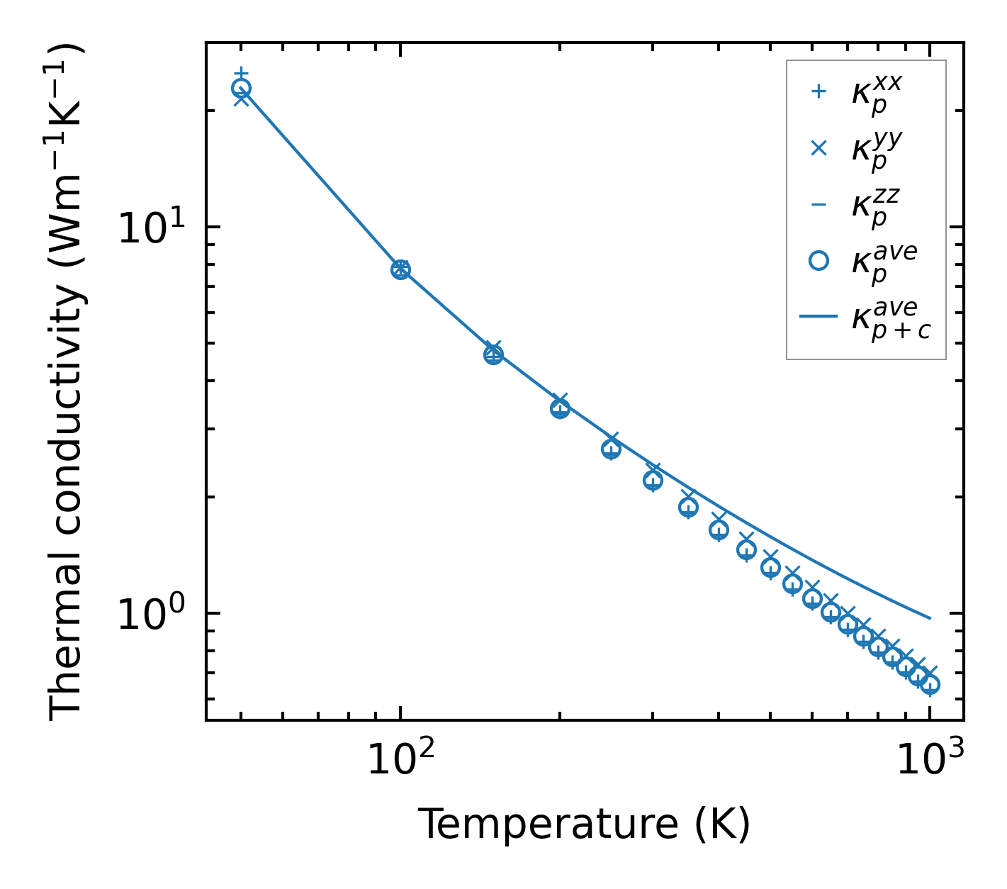
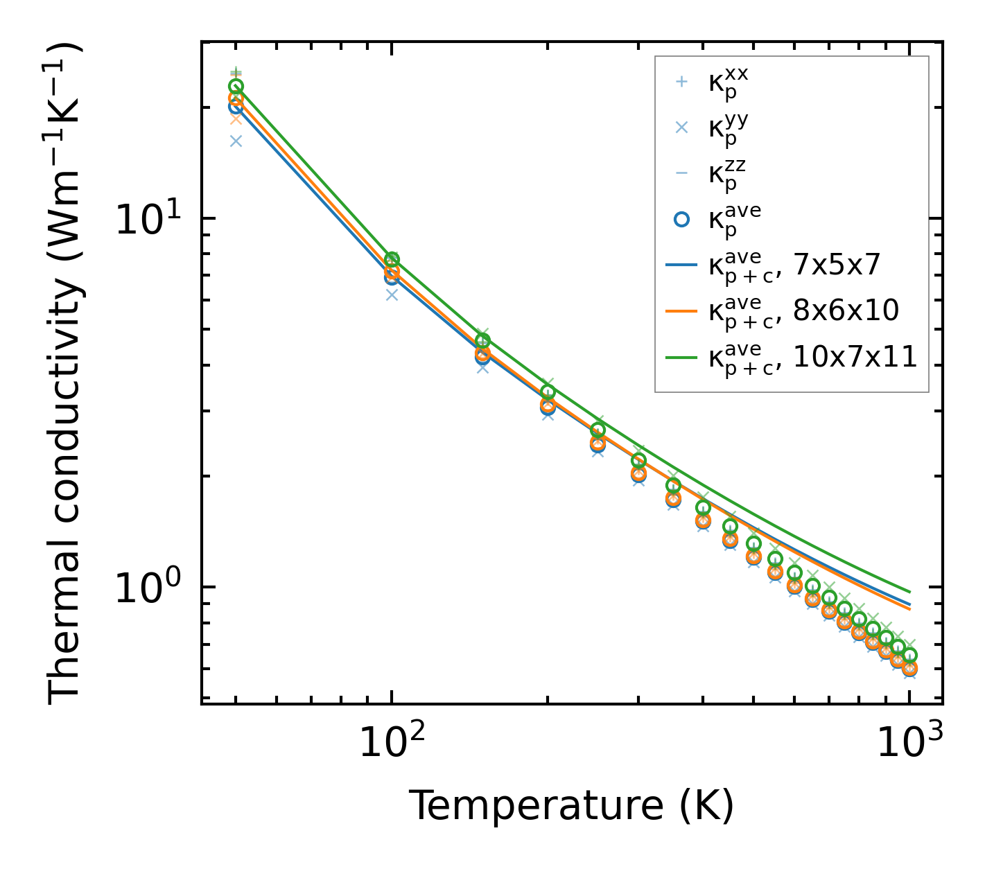
Thermal conductivity

3-phonon (LASSO) — q-mesh: 10x7x11, supercell: 2x1x2

../../_images/fig_kappa13234.png

(a) Temperature-dependent lattice thermal conductivity

../../_images/fig_kappa_vs_grain_size7109.png

(b) Peierls lattice thermal conductivity w.r.t grain size

Phonon lifetime and scattering rates

../../_images/fig_lifetime6961.png

(a) Phonon lifetime due to phonon-phonon scattering

../../_images/fig_scat_rates6960.png

(b) Phonon scattering rates

Cumulative and spectral thermal conductivity

../../_images/fig_cumu_frequency6961.png

(a) Spectral and cumulative thermal conductivity w.r.t frequency

../../_images/fig_cumu_mfp6960.png

(b) Spectral and cumulative thermal conductivity w.r.t MFP

Force constants

../../_images/fig_fc215775.png

(a) Force constants w.r.t atomic distance

Summary

../../_images/fig_kappa13235.png

(a) Temperature-dependent lattice thermal conductivity

../../_images/fig_times26654.png

(b) Computation time