mp-1188465/Cs3CdBr5/harm

Harmonic properties

../../_images/fig_bandos_pr16190.png

(a) Phonon dispersion with participation ratio and DOS

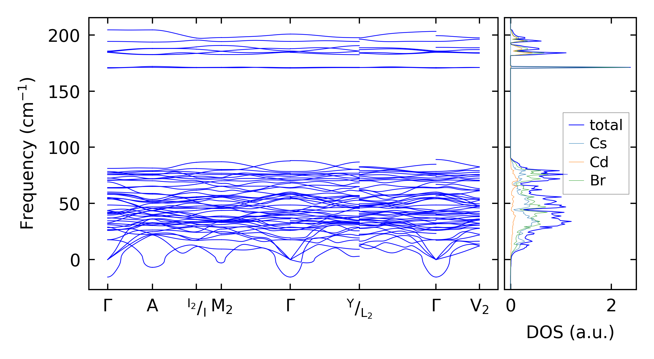
../../_images/fig_bandos20653.png

(b) Phonon dispersion and DOS

../../_images/fig_thermo16189.png

(c) Thermodynamic properties

Force constants

../../_images/fig_fc215783.png

(a) Force constants w.r.t atomic distance

Summary

../../_images/fig_times26664.png

(a) Computation time