mp-1188645/Y2S3/anharm

Harmonic properties

../../_images/fig_bandos_pr16197.png

(a) Phonon dispersion with participation ratio and DOS

../../_images/fig_thermo16196.png

(b) Thermodynamic properties

Grüneisen parameters

../../_images/fig_gru_all7037.png

(a) Grüneisen parameters

../../_images/fig_gruneisen7037.png

(b) Phonon dispersion with Grüneisen parameters

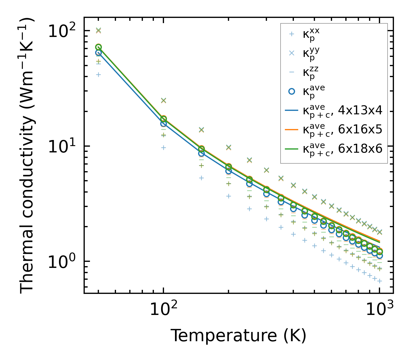
Thermal conductivity

3-phonon (LASSO) — q-mesh: 6x18x6, supercell: 2x3x1

../../_images/fig_kappa13254.png

(a) Temperature-dependent lattice thermal conductivity

../../_images/fig_kappa_vs_grain_size7119.png

(b) Peierls lattice thermal conductivity w.r.t grain size

Phonon lifetime and scattering rates

../../_images/fig_lifetime6971.png

(a) Phonon lifetime due to phonon-phonon scattering

../../_images/fig_scat_rates6970.png

(b) Phonon scattering rates

Cumulative and spectral thermal conductivity

../../_images/fig_cumu_frequency6971.png

(a) Spectral and cumulative thermal conductivity w.r.t frequency

../../_images/fig_cumu_mfp6970.png

(b) Spectral and cumulative thermal conductivity w.r.t MFP

Force constants

../../_images/fig_fc215790.png

(a) Force constants w.r.t atomic distance

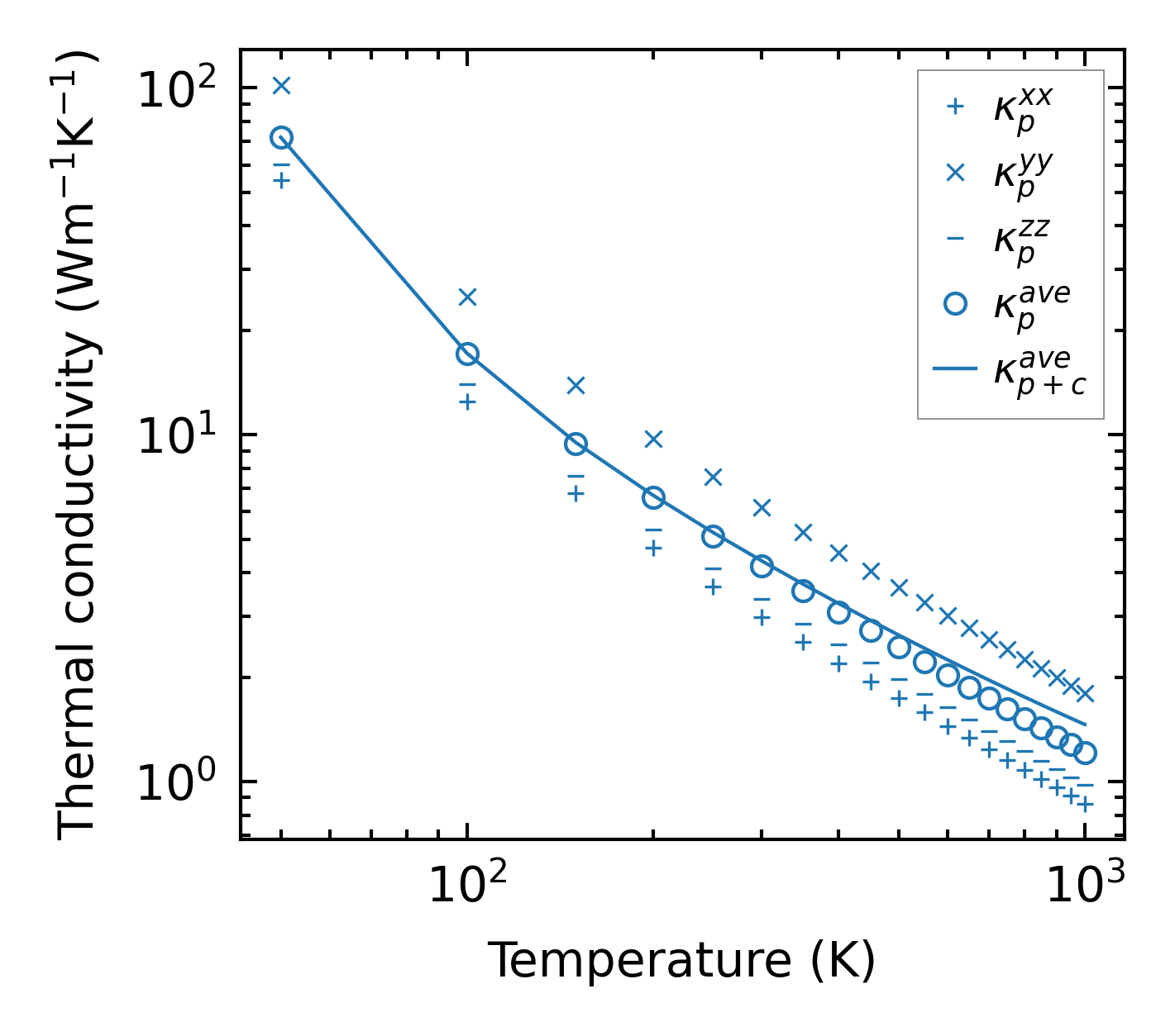
Summary

../../_images/fig_kappa13255.png

(a) Temperature-dependent lattice thermal conductivity

../../_images/fig_times26673.png

(b) Computation time