mp-1188648-3/Y6NiBr10/anharm

Harmonic properties

../../_images/fig_bandos_pr16200.png

(a) Phonon dispersion with participation ratio and DOS

../../_images/fig_thermo16199.png

(b) Thermodynamic properties

Grüneisen parameters

../../_images/fig_gru_all7040.png

(a) Grüneisen parameters

../../_images/fig_gruneisen7040.png

(b) Phonon dispersion with Grüneisen parameters

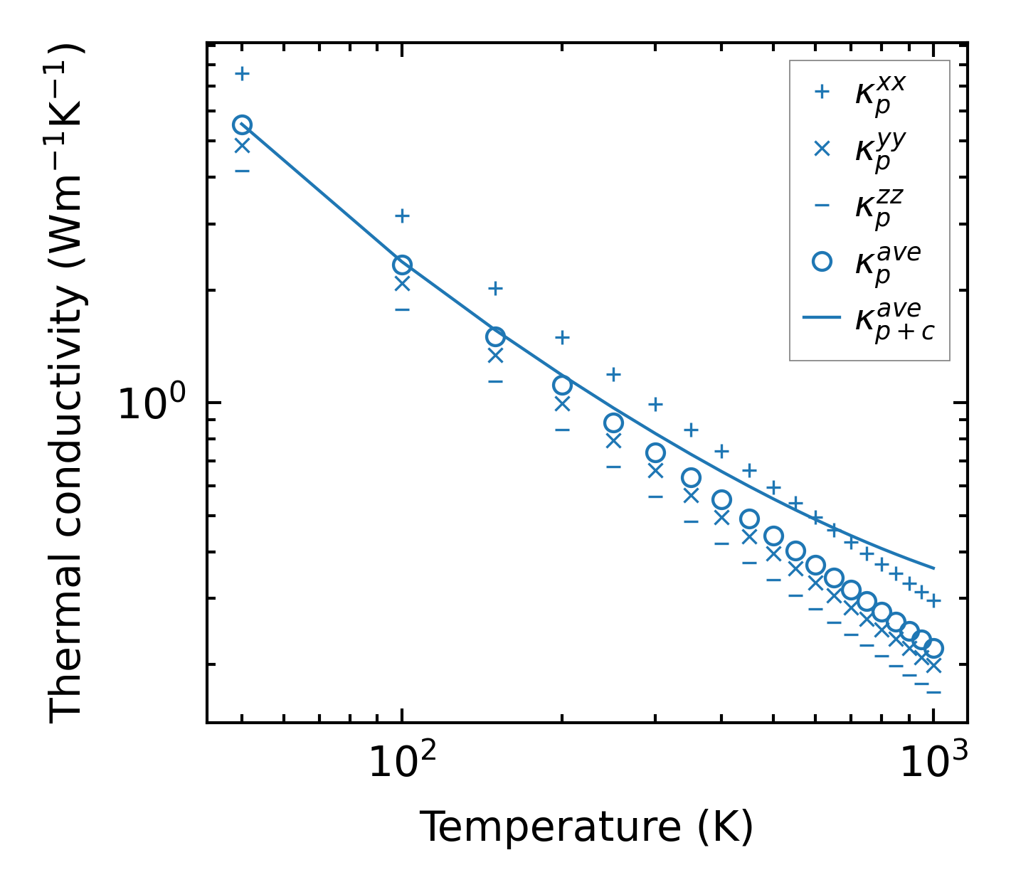
Thermal conductivity

3-phonon (LASSO) — q-mesh: 10x8x8, supercell: 2x2x2

../../_images/fig_kappa13260.png

(a) Temperature-dependent lattice thermal conductivity

../../_images/fig_kappa_vs_grain_size7122.png

(b) Peierls lattice thermal conductivity w.r.t grain size

Phonon lifetime and scattering rates

../../_images/fig_lifetime6974.png

(a) Phonon lifetime due to phonon-phonon scattering

../../_images/fig_scat_rates6973.png

(b) Phonon scattering rates

Cumulative and spectral thermal conductivity

../../_images/fig_cumu_frequency6974.png

(a) Spectral and cumulative thermal conductivity w.r.t frequency

../../_images/fig_cumu_mfp6973.png

(b) Spectral and cumulative thermal conductivity w.r.t MFP

Force constants

../../_images/fig_fc215793.png

(a) Force constants w.r.t atomic distance

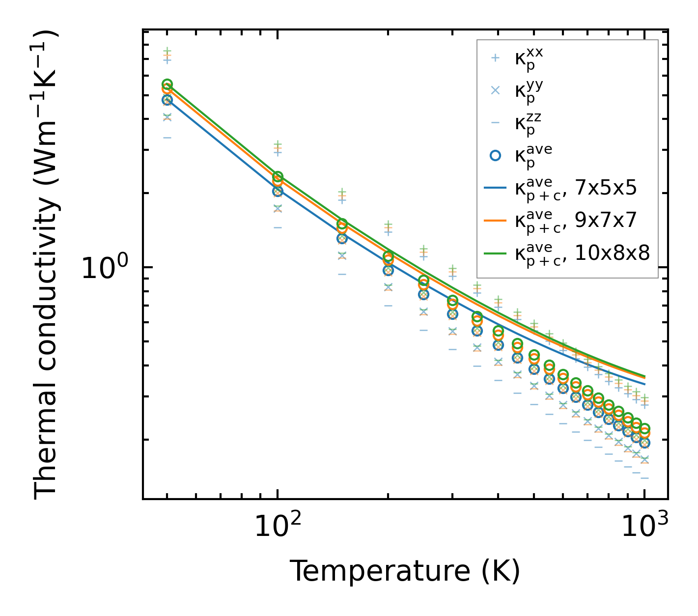
Summary

../../_images/fig_kappa13261.png

(a) Temperature-dependent lattice thermal conductivity

../../_images/fig_times26676.png

(b) Computation time