mp-1188133/Tm2Te3/anharm

Harmonic properties

../../_images/fig_bandos_pr16178.png

(a) Phonon dispersion with participation ratio and DOS

../../_images/fig_thermo16177.png

(b) Thermodynamic properties

Grüneisen parameters

../../_images/fig_gru_all7025.png

(a) Grüneisen parameters

../../_images/fig_gruneisen7025.png

(b) Phonon dispersion with Grüneisen parameters

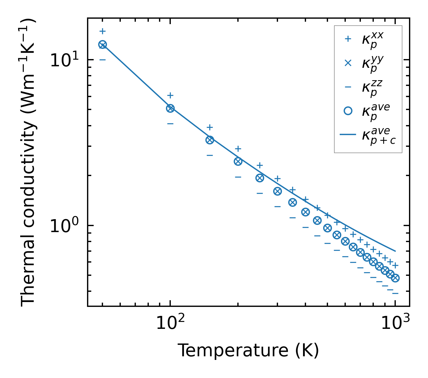
Thermal conductivity

3-phonon (LASSO) — q-mesh: 10x10x5, supercell: 2x2x1

../../_images/fig_kappa13230.png

(a) Temperature-dependent lattice thermal conductivity

../../_images/fig_kappa_vs_grain_size7107.png

(b) Peierls lattice thermal conductivity w.r.t grain size

Phonon lifetime and scattering rates

../../_images/fig_lifetime6959.png

(a) Phonon lifetime due to phonon-phonon scattering

../../_images/fig_scat_rates6958.png

(b) Phonon scattering rates

Cumulative and spectral thermal conductivity

../../_images/fig_cumu_frequency6959.png

(a) Spectral and cumulative thermal conductivity w.r.t frequency

../../_images/fig_cumu_mfp6958.png

(b) Spectral and cumulative thermal conductivity w.r.t MFP

Force constants

../../_images/fig_fc215771.png

(a) Force constants w.r.t atomic distance

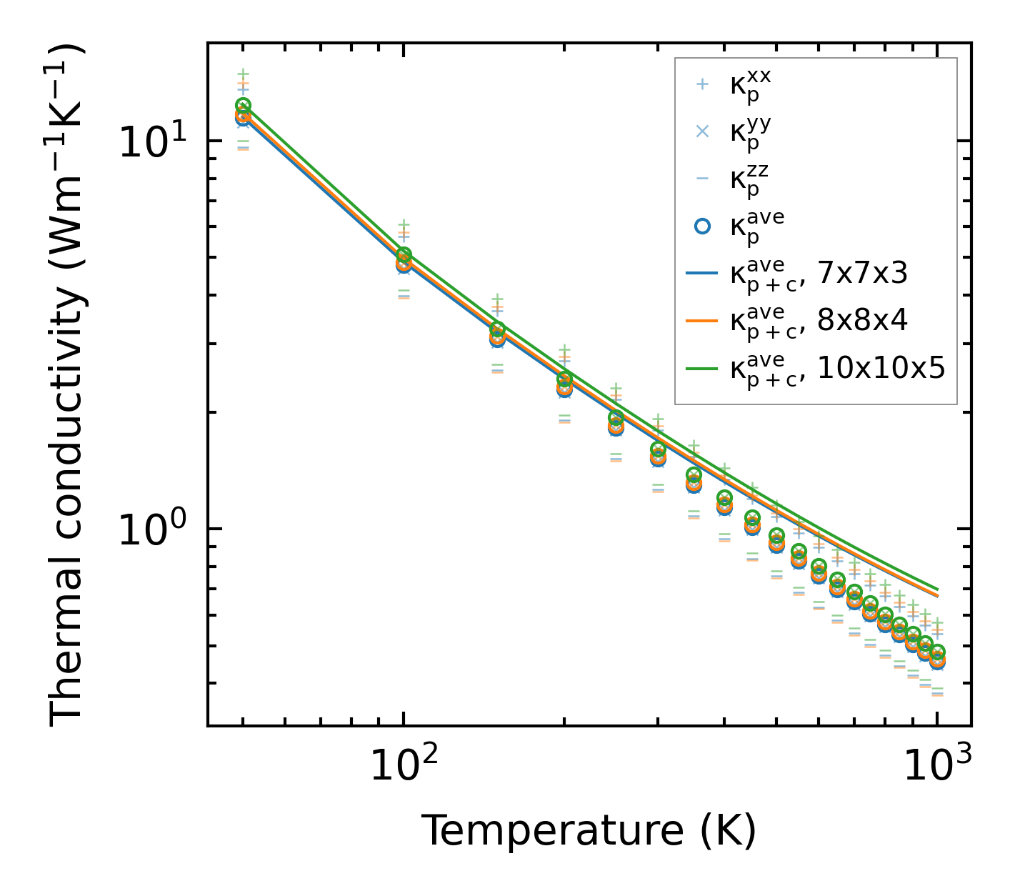
Summary

../../_images/fig_kappa13231.png

(a) Temperature-dependent lattice thermal conductivity

../../_images/fig_times26646.png

(b) Computation time